Eine Mitschrift zu der Vorlesung
„Theoretische Informatik 2“
gehalten an der
Johann Wolfgang von Goethe Universität Frankfurt
von
Herr Prof. Dr. Wotschke
Fassung vom 19. Oktober 2000
Heruntergeladen von:
Autoren:
Frank Bergmann (bergmann@informatik.uni-frankfurt.de),
Jörn Gersdorf (gersdorf@informatik.uni-frankfurt.de),
Martin Klossek (klossek@informatik.uni-frankfurt.de),
Fabian Wleklinski (wleklins@informatik.uni-frankfurt.de)
2 Vorlesung vom 11. April 2000
2.1 Mengen, Mengenoperationen und Relationen
2.1.1 Funktion, Umkehrfunktionen und Abbildungen
2.1.2 Injektivität, Surjektivität und Bijektivität
2.2.1 Die algebraische Struktur
2.2.4 Das freie Erzeugendensystem, das freie Monoid
2.5 Klassifizierung von Sprachen
3 Vorlesung vom 13. April 2000
3.1 Abzählbarkeit von Mengen, Diagonalisierung
3.1.3 Abzählbarkeit rationaler Zahlen
3.1.4 Überabzählbarkeit reeller Zahlen
3.2 Transitive und reflexive Hülle
3.3 Endliche Automaten (FSM, DFA)
3.3.1 Veranschaulichung und Darstellung
3.3.4 Beispiel eines endlichen Automaten
4 Vorlesung vom 18. April 2000
4.1 Beweis eines DFA (deterministischer endlicher Automat)
4.2.5 Beweis der Sprachäquivalenz
4.3 Nichtdeterministische Endliche Automaten (NFA)
4.3.2 Erweiterung von d des NFA
4.3.3 Die vom NFA erkannte Sprache
5 Vorlesung vom 20. April 2000
5.1 Über die Äquivalenz von DFA und NFA
5.1.4 Beispiel 1 (Konstruktion eines DFA aus einem NFA)
5.1.5 Beispiel 2 (Konstruktion eines DFA aus einem NFA)
5.2 Satz über die Minimierung von Zuständen
6 Vorlesung vom 25. April 2000
6.1 Nachtrag zur vorherigen Vorlesung
6.2 Mathematischer Hintergrund
6.2.1 Erweiterung des Begriffes „Äquivalenzrelation“
6.3.3 Reguläre Ausdrücke vs. endliche Automaten
6.4.1 Definition des Nerode Automaten
6.4.2 Repräsentantenunabhängigkeit des Nerode Automaten:
6.4.3 Regularität des Nerode Automaten:
6.4.4 Minimalität des Nerode Automaten
6.4.5 Eindeutigkeit des Nerode Automaten
7 Vorlesung vom 27. April 2000
7.1.1 Homomorphismus und Isomorphismus
7.1.2 Minimalität und Eindeutigkeit des Nerode Automaten
7.2 Minimierung von endlichen Automaten
7.2.1 Rekursion der k Relationen
7.2.2 Verfeinerung von Äquivalenzrelationen
7.2.3 Anwendung auf k Relation zur Zustandsreduktion
8.1 Minimierung mittels Nerode Automaten
8.1.1 Satz über die Gleichwertigkeit von Relationen
8.1.2 Konstruktion eines minimalen Automaten
8.2 „Praktische“ Minimierung von deterministischen endlichen Automaten
9 Vorlesung vom 04. Mai 2000 Abschlußeigenschaften regulärer Mengen
9.2 Sammlung von Abschlußeigenschaften
9.2.1 Beweise Vereinigung, Konkatenation, Kleenesche Hülle
10.1 Beispiele zur Nutzung der Abschlusseigenschaften
10.2 Automaten mit e-Bewegungen
10.2.3 Formale Unterschiede zum gewöhnlichen NFA
10.2.4 Äquivalenz vom NFA mit und ohne e-Bewegungen
11.1 Äquivalenz von endlichen Automaten und regulären Ausdrücken
11.1.1 Von regulären Ausdrücken zu endlichen Automaten
11.1.2 Vereinigung zweier regulärer Ausdrücke als NFAs
11.1.3 Schnitt zweier regulärer Ausdrücke als NFAs
11.1.4 Kleensche Hülle eines regulären Ausdruckes als NFA
11.1.5 Beispiel: Konstruktion eines NFA mit e‑Übergängen für einen regulärem Ausdruck
11.1.6 Von endlichen Automaten zu regulären Ausdrücken
12.1 Wiederholung der letzten Vorlesung
12.2 Beispiel zur Umwandlung eines Automaten dem entsprechenden Regulären Ausdruck
12.3 Endliche 2-Wege Automaten
13.1.1 Beispiel zu Grammatiken
13.2 Die Äquivalenz von regulären Grammatiken und endlichen Automaten
13.5.2 Definition der Entscheidbarkeit
13.5.3 Beispiel: Entscheidbarkeit der leeren Sprache
13.5.4 Beispiel: Entscheidbarkeit der unendlichen Sprache
13.5.5 Beispiel: Entscheidbarkeit der endlichen Sprache
13.5.6 Beispiel: Entscheidbarkeit der Schnittmenge
13.5.7 Beispiel: Entscheidbarkeit der Teilmenge
13.5.8 Beispiel: Entscheidbarkeit der Äquivalenz
13.6 Kontext-freie Grammatiken
13.6.1 Beispiel zur Kontext-freien Grammatik
14.1 Ableitungen von Wörtern in kontextfreien Grammatiken
14.1.3 Beispiel für einen Ableitungsbaum
14.1.4 Die Beziehung zwischen Ableitungsbäumen und Grammatiken
14.2 Vereinfachung kontextfreier Grammatiken
15.1 Reduktion von Grammatiken
15.1.1 Definition Brauchbarkeit von Nichtterminalsymbolen
15.1.2 Das Problem der Ausführung der beiden Schritte
17.2 Formale Definition, Konfiguration, Akzeptierung
17.3 Äquivalenz von PDA und kontextfreier Grammatik
17.3.1 Äquivalenz PDA und kontextfreie Grammatiken
18.1 Für jede CFL existiert ein PDA
18.1.1 Fortsetzung des Beweises vom 06. Juni 2000
19 Vorlesung vom 15. Juni 2000
19.1 Greibach Normalform (GNF)
19.1.2 Umwandlung von linksrekursiven in rechtsrekursive Produktionen
19.1.3 Kontextfreie Grammatiken in Greibach Normalform (GNF)
20 Vorlesung vom 20. Juni 2000
20.1.1 Beispiele für Kontextfreiheit und Nichtkontextfreiheit
21 Vorlesung vom 27. Juni 2000
21.2 Turing-Maschinen und Entscheidbarkeit
21.2.1 Problem, Algorithmus, Entscheidbarkeit
21.2.2 Modelle für Algorithmen
21.2.5 Universelle Turingmaschine
21.2.6 Arbeitsweise der universellen Turing-Maschine
21.2.7 Halteproblem für Turing-Maschinen
Eine Funktion ist eine eindeutige Zuordnung der Elemente einer Menge A zu den Elementen einer Menge B. Jedem Element von A darf höchstens ein Element von B zugeordnet sein, verschiedenen Elementen von A kann aber dasselbe Element von B zugeordnet sein. Es braucht nicht jedem Element von A ein Element aus B zugeordnet zu sein.
Für beliebige Funktionen gilt:
                    
                                                                 
                    
                                                                                                       
                    
                                                                                
Anmerkungen dazu:
Es ist zu beachten, dass f’() keinesfalls die Umkehrfunktion ist – zu dieser wird es erst durch die bijektive Eigenschaft.
Bei der obigen Betrachtung von A, B, S1, S2 und f() existieren drei Sonderfälle. 1) Ein Element aus A kann nicht nach B abgebildet werden, weil f() für dieses Element nicht definiert ist. 2) Für ein bestimmtes Element aus B gibt es kein Element aus A, das auf dieses Element abgebildet wird. 3) Zwei oder mehr Elemente aus A werden auf ein Element in B abgebildet. (Die vierte, logische Kombination, nämlich dass ein Element aus A auf mehrere Elemente aus B abgebildet wird, verbietet der Funktionsbegriff.)
Die Begriffe Injektivität, Surjektivität und Bijektitivät entstammen dem mathematischen Sprachgebrauch und müssen daher hier nicht näher erläutert werden. Bedeutsam sind aber die Auswirkungen auf die oben gemachten Aussagen:
                    
                                                             
                    
                                                         
                    
              
Generell gilt, es existiert eine bijektive Abbildung zwischen zwei Mengen genau dann, wenn ihre Mächtigkeit identisch ist:
                    
                                               
Eine
binäre Relation R auf
einer Menge M ist eine Teilmenge von MxM.
Sind  und gilt
 und gilt  , so sagt man: „a
und b stehen in der Relation R.“ Gelegentlich schreibt man statt
, so sagt man: „a
und b stehen in der Relation R.“ Gelegentlich schreibt man statt  auch
 auch  . Eine Relation kann über eine oder mehrere der folgenden
Eigenschaften verfügen:
. Eine Relation kann über eine oder mehrere der folgenden
Eigenschaften verfügen:
1.      
Reflexitivität:          
2.      
Transitivität:           
3.      
Symmetrie:             
4.      
Antisymmetrie:       
Beachte: Symmetrie und Transitivität implizieren nicht Reflexitivität! Zur Bewertung einer Relation muss jede dieser vier Aussagen einzeln überprüft werden.
Man spricht von einer „Äquivalenzrelation“, wenn eine Relation reflexiv, transitiv und symmetrisch ist, und von einer Ordnung, wenn eine Relation reflexiv, transitiv und antisymmetrisch ist. Zum Beispiel ist die normale Vergleichsoperation auf der Menge der reellen Zahlen („=“) eine Äquivalenzrelation, und die kleiner-gleich-Operation („£“) eine Ordnung.
Alle Elemente b einer Menge M, die zu einem gegebenen Element a äquivalent sind, bilden zusammen die „Äquivalenzklasse“ des Elementes a:
                    
                                                                                          
Ist die Schnittmenge zweier Äquivalenzklassen nicht leer, so sind die Äquivalenzklassen identisch:
                    
                                                                                        
Bei den Äquivalenzklassen kommt die reflexive Eigenschaft der Relationen zum Tragen, da ohne diese Eigenschaft ein Element nicht in seiner eigenen Äquivalenzklasse enthalten wäre.
Es besteht ein Zusammenhang zwischen den Indizes der Äquivalenzklassen und der Anzahl der Zustände eines Automaten.
Eine Kollektion  ist eine Menge von Elementen Ci, die über einen Index i indiziert werden können, der aus der
Indiziermenge I stammt.
 ist eine Menge von Elementen Ci, die über einen Index i indiziert werden können, der aus der
Indiziermenge I stammt.
Eine Kollektion von Mengen Ci heißt Partition von A genau dann wenn 1) alle Mengen Ci disjunkt oder gleich sind, 2) jede Menge Ci eine Teilmenge von A ist, und 3) die Vereinigung aller Mengen Ci die Menge A ergibt:
                    
                                 
Die Menge der Äquivalenzklassen aller Elemente einer gegebenen Menge A ist eine Partition von A:  ist eine Partition
von A.
 ist eine Partition
von A.
Die algebraische Struktur ist wichtig, da sich jeder endlicher Automat als algebraische Struktur darstellen lässt. Die algebraische Struktur besteht aus einer Menge, und aus einer Rechenoperation auf dieser Menge:
                    
                              
Schreibweise:  oder
 oder  .
.
Die Halbgruppe ist eine algebraische Struktur, für deren Operation das Assoziativgesetz gilt:
                    
      
Das Monoid ist eine Halbgruppe mit Einselement:
                    
                                 
G ist ein freies Erzeugendensystem für  , wenn 1) jedes Element aus S als Kombination von Elementen aus G darstellbar ist, und 2) jede dieser Darstellungen eindeutig ist.
, wenn 1) jedes Element aus S als Kombination von Elementen aus G darstellbar ist, und 2) jede dieser Darstellungen eindeutig ist.
                    
                   
Schreibweise:   „G ist ein freies Erzeugendensystem für  “ oder „
“ oder „ ist ein freies Monoid über G“.
ist ein freies Monoid über G“.
Beispiele:
 ist ein freies Monoid
über {1},
 ist ein freies Monoid
über {1},  ist kein freies
Monoid über {1,2}
 ist kein freies
Monoid über {1,2}
Ein Homomorphismus ist die Kombination zweier algebraischer Strukturen  ,
,  und einer Funktion h(), die die Eigenschaft besitzt, kommutativ bezüglich der
Verknüpfungsoperationen (der algebraischen Strukturen) zu sein:
 und einer Funktion h(), die die Eigenschaft besitzt, kommutativ bezüglich der
Verknüpfungsoperationen (der algebraischen Strukturen) zu sein:
                    
                                                   
Ein Isomorphismus ist ein bijektiver Homomorphismus. Wenn zwei Mengen isomorph zueinander sind, bedeutet das, dass sie sich (von den Bezeichnern ihrer Elemente abgesehen) nicht voneinander unterscheiden lassen. Ein minimaler Automat ist „bis auf Isomorphismen exakt bestimmt“.
                    
                                          
Beispiele:
h(n)=2n: h ist Homomorphismus, aber nicht Isomorphismus
Eine Menge M heißt „abzählbar unendlich“, wenn es eine bijektive Abbildung ihrer Elemente auf die Menge der natürlichen Zahlen gibt:
                    
                                       
                    
                              
Anmerkung: Wie es der Name sagt, bedeutet „Abzählbarkeit“, dass die Elemente einer Menge zwar zahlreich oder unendlich sind, dass sie aber dennoch abzählbar sind.
Beispiel:
Die Menge der rationalen Zahlen ist abzählbar unendlich, die Menge der irrationalen Zahlen (und damit auch die Menge der reellen Zahlen) ist überabzählbar unendlich.
Die Konkatenation zweier Mengen S1 und S2 ist die Menge aller „zusammengesetzten“ Elemente dieser beiden Mengen:
                    
                                                                                   
Sei S eine endliche Menge von Symbolen, und · der Operator für die Konkatenation. Eine Sprache L ist definiert als Teilmenge der Menge aller Wörter über diesem Symbolalphabet:
                    
                                                       
                    
                     
                    
                                                  
 ist das freie Monoid
über S,
wobei die Konkatenation („·“) die Operation ist. S dient hier als
freies Erzeugendensystem.
 ist das freie Monoid
über S,
wobei die Konkatenation („·“) die Operation ist. S dient hier als
freies Erzeugendensystem.
Die Menge aller Wörter über einem Alphabet S (entspricht S*) ist abzählbar unendlich; die Menge aller Sprachen über S ist überabzählbar unendlich.
Die zulässige Form der Sätze einer Sprache nennt man Syntax, die Bedeutung der Sätze wird durch die Semantik beschrieben. Zur Festlegung der Syntax einer Spracheverwendet man Grammatiken. Eine Grammatik ist eine Menge von Regeln, die bestimmen, welche Sätze zur Sprache gehören, und welche nicht. Man spricht von Chomsky-Grammatiken, wenn eine Grammatik durch vier Angaben definiert wird: durch eine Menge von Terminalsymbolen, eine Menge von Nichtterminalsymbolen, eine Menge von Grammatikregeln und durch ein Startsymbol.
Von einer Grammatik wird gefordert, dass sie ein endlich langer Beschreibungsmechanismus für eine Sprache ist. Solche endlich langen Beschreibungsmechanismen können der Länge nach, und innerhalb einer Länge alphabetisch geordnet werden. Somit ist die Menge der Grammatiken abzählbar unendlich. Weil die Menge der Sprachen aber überabzählbar unendlich ist, folgt daraus, dass es Sprachen gibt, die keine Grammatik haben können.
Wie viele Sprachen gibt es, die eine Grammatik haben?
Weil es insgesamt nur abzählbar unendlich viele Grammatiken gibt, ist auch die Menge aller Grammatiken für eine beliebige Sprache über S nur abzählbar unendlich. Daraus folgt, dass die Menge der Sprachen mit Grammatik höchstens ebenfalls abzählbar unendlich ist. „Höchstens“ deswegen, weil u.U. mehrere Grammatiken die selbe Sprache beschreiben.
Wie viele Sprachen gibt es, die keine Grammatik haben?
Es gibt überabzählbar unendlich viele Sprachen, die keine Grammatik haben. Der Beweis gestaltet sich recht einfach. Wir haben bereits festgestellt, dass es nur abzählbar unendlich viele Sprachen gibt, die eine Grammatik haben. Gäbe es ebenfalls nur abzählbar unendlich viele Sprachen, die keine Grammatik haben, so würden auch insgesamt nur abzählbar unendlich viele Sprachen existieren. Wir haben aber bereits festgestellt, dass überabzählbar unendlich viele Sprachen existieren (Widerspruch!).
Noam Chomsky hat 1956 eine Klassifizierung der künstlichen Sprachen vorgeschlagen, die sich bis heute erhalten hat. Sie sieht vor, Grammatiken in insgesamt vier verschiedene Gruppen zu kategorisieren. Jede Gruppe verfeinert die vorhergehende Gruppe, bzw. beinhaltet sie. Zu diesen vier Gruppen hat sich im Laufe der Zeit eine fünfte Gruppe gesellt:
| Klassifizierung nach Chomsky | Verschiedene Methoden
   (Klassen), | Grammatiken | 
| Chomsky-3 | Endliche Automaten | Reguläre Grammatiken | 
| Chomsky-2 | Pushdown-Automaten | Kontext-freie Grammatiken | 
| 
 | Deterministische Pushdown-Automaten | LR(z) – Grammatiken | 
| Chomsky-1 | Linear beschränkte Automaten | Kontext-sensitive Grammatiken | 
| Chomsky-0 | Turing-Maschinen | Rekursiv aufzählbare Mengen | 
Mengen sind endliche oder unendliche Ansammlungen von Elementen. Die Anzahl dieser Elemente einer Menge wird Mächtigkeit oder auch Kardinalität genannt. Die formale Notation dafür ist:
                    
                                                                             
Haben zwei Mengen M1 und M2 die gleiche Mächtigkeit und existiert zwischen den beiden Menge eine bijektive Abbildung, gilt also
                    
                                                                                     
so heißen die Mengen gleichmächtig. Für den Spezialfall, dass eine Menge M gleichmächtig der Menge der natürlichen
Zahlen  ist, so ist die Menge
M abzählbar unendlich. Endliche Mengen sind immer abzählbar.
Dementsprechend wird eine Menge, deren Mächtigkeit größer der Menge der
natürlichen Zahlen ist, für die es also keine bijektive Abbildung zwischen den
beiden Mengen gibt und die somit nicht abzählbar ist, überabzählbar
genannt.
 ist, so ist die Menge
M abzählbar unendlich. Endliche Mengen sind immer abzählbar.
Dementsprechend wird eine Menge, deren Mächtigkeit größer der Menge der
natürlichen Zahlen ist, für die es also keine bijektive Abbildung zwischen den
beiden Mengen gibt und die somit nicht abzählbar ist, überabzählbar
genannt.
Einfacher ausgedrückt sind Mengen genau dann abzählbar, wenn ihre Elemente durchnumeriert werden können. Dann existiert eine surjektive Abbildung der natürlichen Zahlen auf die betrachtete Menge, so dass jedes Element der Menge einer natürlichen Zahl zugeordnet ist.
Die im vorangegangenen Abschnitt beschriebene Gleichmächtigkeit zweier Mengen kann auch mit dem Schlagwort one-to-one-mapping illustriert werden. Seien beispielsweise folgende Mengen gegeben:
                    
                                                
Dann kann S1 eindeutig auf S2 abgebildet werden mit der Funktion
                    
                                                                                                              
Es liegt eine bijektive Abbildung zwischen den beiden Mengen vor, so dass die Mengen von gleicher Mächtigkeit (Kardinalität) sind. Man kann den Begriff one-to-one-mapping verwenden, da jedes Element der einen Menge genau einem Element der anderen Menge zugeordnet wird und umgekehrt.
Ein weiteres Beispiel sei mit folgenden Mengen gegeben:
                   
 
                           
Auch hier liegt eine eindeutige Abbildung von S1 auf S2 vor:
                   
 
                                                                                                           
Folglich sind S1 und S2 gleichmächtig, was noch einmal durch eine grafische Diagonalisierung verdeutlicht werden kann.

Abbildung 1 - Grafische Zuordnung von Mengenelementen
Zur Motivation ist anzumerken, dass die detaillierte Beschreibung dieses Themas als sinnvoll zu erachten ist, da viele Beweise der kommenden Wochen in ihrer Basis auf diesem Vorgehen basieren und die Begriffe so zu den Essentials der Veranstaltung gehören.
Ein Beispiel für einen Beweis der Abzählbarkeit einer
Menge ist die Abzählbarkeit der rationalen Zahlen.
Die rationalen Zahlen ist die Menge der Bruchzahlen, die Vereinigung einer
Zählermenge A und einer Nennermenge B mit A und B gleich Menge der ganzen
Zahlen  .
.
                    
                                                                                                  
Dies läßt sich leicht mit einer einfachen Darstellung und der aus der Mathematik bekannten Gesetzmäßigkeit beweisen, dass die Vereinigung abzählbar vieler abzählbarer Mengen (wie die der ganzen Zahlen) wieder eine abzählbare Menge ist.
Jedes Element der Zählermenge besitzt eine abzählbare Menge von Elementen im Nenner, die Menge der ganzen Zahlen eben. Ebenso gibt es eine abzählbare Menge von Zählerelementen, so dass man folgendes unendliches Schema anwenden kann, wobei die Pfeile eine lineare Numerierung bedeuten, beginnend mit der linken oberen Ecke. Folglich ist die Menge der rationalen Zahlen abzählbar unendlich.

Abbildung 2 - Quadratisch unendliches Schema der Bruchzahlen
Formal läßt sich eine Zeile des Schemas folgendermaßen ausdrücken:
                    
                                                                               
Da alle Pz abzählbar sind, ist auch die Vereinigung abzählbar vieler solcher Mengen abzählbar und damit die Menge der rationalen Zahlen abzählbar:
                    
                                                                                                              
Die Menge der reellen Zahlen ist die Menge der Dezimalzahlen mit endlichen und unendlicher Periode. Man kann die Zahlen im Bereich ]0,1[ in einem Schema anordnen und dann eine Cantorsches Diagonalverfahren genannte Methode anwenden. Ist bereits dieses Intervall nicht abzählbar, so ist die gesamte Menge der reellen Zahlen überabzählbar.
Nehmen wir zunächst an, das Intervall sei abzählbar und es
existiere dementsprechend eine surjektive Abbildung  . Sei xn eine Zahl aus diesem Intervall, die sich
aus Stellen a1,a2,a3,... zusammensetzt:
. Sei xn eine Zahl aus diesem Intervall, die sich
aus Stellen a1,a2,a3,... zusammensetzt:
                    
                                                                                                  
Sei nun c eine weitere Zahl aus dem Intervall mit
                    
                                                                                                        
wobei sich ci folgendermaßen zusammensetzt, also Stellen aus xn neu zusammensetzt (diagonal im Schema wegen aii):
                    
                                                                                                  
Somit ist gewährleistet, dass ci niemals gleich aii ist und mindestens in einer Stelle verschieden. Damit ist c ungleich jedem beliebigen xn. Wenn das Intervall abzählbar ist, müßte ein xj mit xj = c existieren. Das ist jedoch ein Widerspruch und somit ist das Intervall der nicht abzählbar. Daraus folgt, dass die reellen Zahlen ebenfalls nicht abzählbar, sondern überabzählbar sind.
Würde man diesen Beweis auf die Menge der rationalen Zahlen anwenden, könnte man leicht den Fehler machen und übersehen, dass es sich bei xn um Dezimalzahlen mit unendlicher Periode handelt. So ist bei den rationalen Zahlen das c ebenfalls ungleich jedem beliebigen xn. Allerdings ist c zugleich auch nicht mehr Element der rationalen Zahlen (sondern der reellen). Die Bedingung der Abgeschlossenheit ist damit nicht mehr erfüllt und somit nichts über die Abzählbarkeit der Menge der rationalen Zahlen ausgesagt.
Das Relationenprodukt zweier Relationen R und S wird folgendermaßen definiert:
                    
                                                                  
Dabei wird gewissermaßen die Transitivität über zwei Relationen hinweg ausgedrückt. Insbesondere heißt eine Relation transitiv, wenn das Relationenprodukt mit sich selbst wieder Teilmenge der Relation ist:
                    
                                                                                                            
                    
                                                                          
Bestimmt man dieses Relationenprodukt unendlich oft und vereinigt anschließend die Relationenprodukte, so erhält man den transitiven Abschluß (auch transitive Hülle genannt):
                    
                                         
Für R0 definiert man die identische, reflexive Abbildung auf der Menge A:
                    
                                                                                               
Die Vereinigung von transitiver Hülle und der identischen Abbildung R0 wird reflexive Hülle genannt:
                    
                                                 
Ein interessanter Anwendungsfall der transitiven Hülle in Verbindung mit einer Relationenmatrix ist das Wege-Problem, bei dem die kürzeste Entfernung zwischen zwei Punkten über andere Punkte hinweg gesucht (traveling salesman problem)
Sei R eine Relation mit
                    
                                                                                         
auf der Menge A mit
                    
                                                                                                          
Dann ergibt sich die transitive Hülle R+ von R folgendermaßen
                    
                                                                                
und die relfexive Hülle R* entsprechend
                    
                                                                 
Ein Automat kann als eine Blackbox, beispielsweise als Modell eines elektrischen Schaltwerks betrachtet werden. Füttert man den Automaten mit einer Eingabe, kann er diese akzeptieren oder nicht akzeptieren. Damit lassen sich Eingaben in die Gruppe der erkannten und die Gruppe der nicht erkannten Wörter einordnen, wobei die Menge der erkannten Wörter die Sprache ist, auf die der Automat hält.
Mit Hilfe eines Automaten läßt sich also eine Sprache definieren, genau wie bei der Definition einer Grammatik, nur dass bei der Grammatik die Wörter der Sprache gewissermaßen als Produkt entstehen, während der Automat die Eingabewörter auf ihre Zugehörigkeit zu der betrachteten Sprache prüft.
Wie beschrieben, erkennt ein Automat eine Sprache  . Das läuft so ab, dass der Automat ein beliebigen Wort x1x2...xn
als Eingabe erhält und Zeichen für Zeichen gemäß Übergangsfunktion abarbeitet.
Er wechselt dabei so lange den Zustand, bis das letzte Eingabezeichen erreicht
ist. Befindet sich der Automat dann in einem Endzustand, dann gehört das
Eingabewort zur Sprache L. Befindet er sich in einem anderen Zustand, gehört
das Wort nicht zur Sprache L.
. Das läuft so ab, dass der Automat ein beliebigen Wort x1x2...xn
als Eingabe erhält und Zeichen für Zeichen gemäß Übergangsfunktion abarbeitet.
Er wechselt dabei so lange den Zustand, bis das letzte Eingabezeichen erreicht
ist. Befindet sich der Automat dann in einem Endzustand, dann gehört das
Eingabewort zur Sprache L. Befindet er sich in einem anderen Zustand, gehört
das Wort nicht zur Sprache L. 
Verdeutlicht wird das Prinzip durch eine bildhafte Darstellung wie folgt. Dabei ließt der Automat über einen Lesekopf die Eingabe vom Eingabeband und wechselt entsprechend der Übergangsfunktion zwischen den Zuständen. Tritt der Automat in einen Endzustand, so wird dies hier durch ein Signal vermerkt.

Abbildung 3 - Prinzip eines endlichen Automaten
Die übliche anschauliche Notation eines endlichen Automaten ist der Graph. Eine Kante verbindet Knoten, die den Zuständen entsprechen. Für jedes Zeichen des Eingabealphabets gibt es eine eigene Kante, die vom jeweiligen Zustand zu einem Folgezustand führt.
Ein deterministischer endlicher Automat auch Finite State Maschine (FSM) oder Deterministic Finite Automation (DFA) genannt, setzt sich aus fünf charakteristischen Eigenschaften zusammen, so dass ein solcher Automat ein 5-Tupel darstellt:
                    
                                                                                              
Dabei bezeichnet Q die Menge der Zustände, S das Eingabealphabet, d die Übergangsfunktion, q0 den Startzustand und F die Menge der Endzustände. Ausführlicher haben die 5 Elemente folgende Funktionen:
· Q ist eine endliche Menge von Zuständen (daher der Name!)
· S ist eine endliche Menge von Eingabesymbolen, das Eingabealphabet
·        
 ist eine Übergangsfunktion (kartesisches Produkt von Zustand
und Eingabesymbol), die einem Zustand und Element des Eingabealphabets einen
Folgezustand zuordnet
ist eine Übergangsfunktion (kartesisches Produkt von Zustand
und Eingabesymbol), die einem Zustand und Element des Eingabealphabets einen
Folgezustand zuordnet
·        
q0 ist der Startzustand des Automaten mit 
·        
F ist eine Menge von Endzuständen (akzeptierende Zustände) mit 
Charakteristisch für diesen Automatentyp (es gibt auch weitere wie wir später sehen werden) ist, dass jeder Kombination aus Zustand und Eingabesymbol ein eindeutiger Folgezustand zugeordnet wird. Verschiedene Kombinationen können jedoch auf den gleichen Folgezustand zeigen.
 auf
 auf 
Um Wörter auf ihre Sprachzugehörigkeit zu prüfen, ist es sinnvoll, als Eingabe für eine Übergangsfunktion nicht nur einzelne Zeichen sondern ganze Wörter zuzulassen. Diese neue Übergangsfunktion wird dann d* genannt. Da sie auf dem freien Monoid S arbeitet, kann sie auch das leere Wort verarbeiten. Prinzipiell handelt es sich bei d* um eine rekursive Mehrfachausführung des einfachen d.
Es gelten folgende Axiome:
                    
                                                                                                          
                    
                                                                       
                    
                                                        
Zur Vereinfachung der Notation legt man fest, dass
                    
                                                                                                                 
Daraus folgt, dass die
akzeptierte Sprache des Automaten  definiert ist als
 definiert ist als 
                    
                                                                       
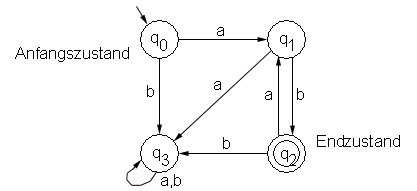
Ein Beispiel eines endlichen, deterministischen Automaten sei ein Automat, der eine Sprache erkennt, die aus einer beliebig langen Folge von ab besteht:
                    
                                                                                          
Mit Hilfe eines Induktionsbeweises, der ausführlich am nächsten Vorlesungstag behandelt wird, kann die Korrektheit des folgenden Graphen bewiesen werden:

Abbildung 4 - Beispiel eines endlichen Automaten
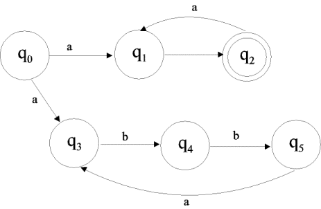
Bereits im letzten Protokoll wurde unser Beispielautomat vorgestellt. Er erkennt die folgende Sprache:
Der Automat selbst ist in der folgenden Abbildung graphisch dargestellt:

Abbildung 5 - Beispiel eines endlichen Automaten
Was haben wir nun zu tun, wenn wir beweisen wollen, dass
der gezeigte endliche Automat wirklich die Sprache T(M) akzeptiert? Wir müssen
zeigen, dass der Automat wirklich nur für die Zeichenfolgen im Endzustand  landet, die in der Sprachspezifikation  angegeben wurden.
landet, die in der Sprachspezifikation  angegeben wurden.
Die allgemeine Vorgehensweise lautet für einen solchen Beweis dann wie folgt:
1.       Aufstellen
von Induktionsbehauptungen für jeden Zustand des endlichen Automaten, also für
jedes  . Die Induktionsbehauptungen haben die allgemeine Form
. Die Induktionsbehauptungen haben die allgemeine Form
2. Beweis der Behauptungen per Induktion
3.       Beweis
der gewünschten Spracheigenschaft durch folgende Äquivalenz. Mit „gewünschter
Sprachspezifikation“ ist eine Beschreibung von  in der Form gemeint, dass
in der Form gemeint, dass  die gewünschte Sprache darstellen.
die gewünschte Sprache darstellen.
                    
                                              
Bei oberflächlicher Betrachtungsweise fragt man sich leicht, wieso es nicht reicht, die Induktionsbehauptungen für die Endzustände zu beweisen. Dies liegt daran, dass die Endzustände i. d. R. nur über andere Zustände erreicht werden können, deren Eigenschaften also auch bewiesen werden müssen.
Zu zeigen:
Wir haben zu zeigen: 
Wir stellen nun zunächst die Induktionsbehauptungen gemäß auf. Hierzu betrachten wir im Transitionsdiagramm (Abbildung 5) jeden einzelnen Zustand und überlegen uns, wann (für welche Eingabefolgen) dieser Zustand erreicht werden kann. Diese Überlegungen führen uns zu den folgenden Behauptungen:
Als Erläuterung der
Induktionsbehauptungen betrachten wir : Nach dem Transitionsdiagramm
kann  nur dann erreicht
werden, wenn – ausgehend vom Startzustand
 nur dann erreicht
werden, wenn – ausgehend vom Startzustand  - eine „ab“-Folge mit
abschließendem „a“ als Eingabezeichenkette vorliegt (z. B. „ababababa“). Die
Anzahl der Zeichen ist hierbei stets ungerade.
 - eine „ab“-Folge mit
abschließendem „a“ als Eingabezeichenkette vorliegt (z. B. „ababababa“). Die
Anzahl der Zeichen ist hierbei stets ungerade.
Wir beweisen durch Induktion über die Länge der Eingabefolgen und wählen n=1 (also eine Zeichenkette der Länge 1). Wir zeigen für die einzelnen Induktionsbehauptungen deren Richtigkeit für n=1:
zu             
zu             
zu             
zu             
Hierzu folgende Erläuterungen: Die Äquivalenzen sind
natürlich dadurch zu zeigen, dass man die Implikationen sowohl von links nach
rechts ( ) als auch von rechts nach links (
) als auch von rechts nach links ( ) begründen muss.
) begründen muss.
Zum Falle von  ist zu sagen, dass zunächst
(„ “) der Fall, mit n=1 (nur einem Zeichen)
“) der Fall, mit n=1 (nur einem Zeichen)  nicht zu erreichen
ist. Damit ist die Prämisse falsch, die Implikation also wahr. Die andere
Richtung („
 nicht zu erreichen
ist. Damit ist die Prämisse falsch, die Implikation also wahr. Die andere
Richtung („ “): n ist ungerade, damit ist wiederum die Prämisse falsch
und die Implikation wahr.
“): n ist ungerade, damit ist wiederum die Prämisse falsch
und die Implikation wahr.
Zu : Nach dem Transitionsdiagramm
wird  bereits mit einem
Eingabezeichen verlassen und kann nie wieder erreicht werden.
 bereits mit einem
Eingabezeichen verlassen und kann nie wieder erreicht werden.
 ):
):Wir nehmen hier eine Fallunterscheidung vor. Solche Fallunterscheidungen sind in Induktionsbeweisen von endlichen Automaten häufig vorzunehmen. In unserem Falle bietet sich eine Fallunterscheidung nach dem Kriterium „n gerade?“ an, da dieses Kriterium in unseren Induktionsbehauptungen eine Rolle spielt.
Fall 1: n+1 gerade, n ungerade
Zu :
                    
                                                 
Wie ist das nun zu lesen? Um nach  zu kommen, muss man
nach dem Transitionsdiagramm im vorletzten Schritt in
 zu kommen, muss man
nach dem Transitionsdiagramm im vorletzten Schritt in  gewesen sein.
 gewesen sein.
Weil nun  gilt, kann kann Fall
gilt, kann kann Fall  schon mal nicht
vorkommen.
 schon mal nicht
vorkommen.  kann nicht vorkommen,
weil n ungerade ist. Damit gilt die Prämisse von  nicht und die Implikation von
links nach rechts ist wahr. Liest man  von rechts nach links, dann
gelten
 kann nicht vorkommen,
weil n ungerade ist. Damit gilt die Prämisse von  nicht und die Implikation von
links nach rechts ist wahr. Liest man  von rechts nach links, dann
gelten  ebenfalls nicht und damit ist die Äquivalenz  insgesamt gezeigt.
ebenfalls nicht und damit ist die Äquivalenz  insgesamt gezeigt.
Zu :
 
                                                        
Wieder haben wir das Transitionsdiagramm betrachtet und
sind diesmal nur auf  als letzten möglichen Schritt gestoßen.
als letzten möglichen Schritt gestoßen.
Wir betrachten nun zunächst den Weg von links nach rechts in :
                   
Natürlich muss auch der Rückweg gezeigt werden. Dies funktioniert aber analog:
                   
Damit haben wir die Äquivalenz gezeigt.
Zu :
Hier ergibt sich:
                    
                                               
Wie zuvor scheidet  aus, da
aus, da  und
 und  scheidet aus, weil n ungerade
ist.
 scheidet aus, weil n ungerade
ist.
„ “ Wir wählen zunächst den Schritt von links nach rechts:
“ Wir wählen zunächst den Schritt von links nach rechts:
I.1 (q1)
                   
I.2 (q3)
                   
„ “ Jetzt beweisen wir den Rückweg und beachten zuvor die
folgende Regel:
“ Jetzt beweisen wir den Rückweg und beachten zuvor die
folgende Regel:
                   
II. 1 (not sonst)
                   
II.2 (sonst)
                   
zu :
 ist ein Widerspruch,
da
 ist ein Widerspruch,
da  . Damit kann dieser Fall nicht vorkommen.
. Damit kann dieser Fall nicht vorkommen.
Fall 2: n+1 ungerade, n gerade
Dieser Fall ist ganz analog wie Fall 1 zu behandeln:
Zu :
                   
 scheidet nach der
Induktionsannahme aus, weil
 scheidet nach der
Induktionsannahme aus, weil  gilt.
 gilt.
                   
Zu :
Es gilt:
                   
Auch dieser Fall scheidet aus, weil n ungerade ist.
Zu :
Dieser Fall ist ähnlich wie beim Fall n ungerade zuvor
zu :
Ist genauso wie oben.
Wir müssen nun noch mit Hilfe der aus dem Induktionsbeweis gewonnenen Erkenntnis, wann die Endzustände erreicht werden, zeigen, dass der endliche Automat aus Abbildung 5 tatsächlich T(M) realisiert:
                    
                                            
Neben den deterministischen endlichen Automaten (DFA) existieren auch nichtdeterministische endliche Automaten (NFA), die sich dadurch auszeichnen, dass bei einem Zustand bei demselben Eingabesymbol keine, eine oder mehr Transitionen erlaubt sind.
Die nichtdeterministischen Automaten sind insbesondere ein nützliches Konzept zum Beweis von Sätzen. Weiter wird sich zeigen, dass die NFAs äquivalent zu den DFAs sind. Insbesondere kann man auch DFAs als einen Spezialfall der NFAs auffassen, nämlich als einen, bei dem es je Zustand eine einzige Transitions für jedes Symbol gibt.
Um zu bestimmen, ob eine bestimmte Zeichenkette w von einem DEA akzeptiert wird, genügt es, diesen einen Pfad zu prüfen. Bei einem NFA kann es viele Pfade geben, die mit w markiert sind. Hier müssen also alle Pfade überprüft werden.
Definition (NFA):
Ein nichtdeterministischer endlicher Automat ist ein Quintupel
 mit:
 mit:
1. Q ist eine endliche Menge von Zuständen
2. S ist eine endliche Menge von Eingabesymbolen
3.      
 ist der
Anfangszustand
 ist der
Anfangszustand
4.      
 ist die Menge der Endzustände (= akzeptierten Zustände)
 ist die Menge der Endzustände (= akzeptierten Zustände)
5.      
 (Potenzmenge) ist die
Übergangsfunktion
 (Potenzmenge) ist die
Übergangsfunktion
Wichtig hierbei ist, dass die Ergebnismenge der
Übergangsfunktion  nun also die Potenzmenge von Q ist. d
liefert jetzt also immer eine Menge von Zuständen. Dabei bedeutet
nun also die Potenzmenge von Q ist. d
liefert jetzt also immer eine Menge von Zuständen. Dabei bedeutet  die Menge aller Zustände p, für die es einen mit a markierten
Übergang von q nach p gibt.
die Menge aller Zustände p, für die es einen mit a markierten
Übergang von q nach p gibt.  bedeutet, dass der
Übergang für (q,a) undefiniert ist.
 bedeutet, dass der
Übergang für (q,a) undefiniert ist.
Die Funktion d kann folgendermassen auf eine Funktion d* ausgedehnt werden.
Definition (d*):
(Erweiterung von  auf
 auf  ):
):
1.       
2.      

3.      

Definition (vom NFA erkannte Sprache):
Sei  ein
nichtdeterministischer endlicher Automat (NFA). Dann heißt
 ein
nichtdeterministischer endlicher Automat (NFA). Dann heißt  die von M erkannte
Sprache.
 die von M erkannte
Sprache.
Anmerkung: Diese Definition impliziert, dass es wenigstens einen Weg von Startzustand aus geben muss, mit dem man über das Wort x in einem Endzustand landet.
Wir betrachten den NFA, der die Sprache  akzeptiert:
 akzeptiert:

Abbildung 6 – Beispiel eines NFA
Aus diesem Transitionsdiagramm kann man nun die folgenden Transitionen erkennen:
                    
                                                                                              
Um diese zu erhalten, geht man wie folgt vor (wir
betrachten das Beispiel  ):
):
Betrachte die beiden Zustände  . Wohin gelangt man jeweils bei einer weiteren Eingabe von
„a“? Von q2 aus gelangt man nach q1 (also bilde die Menge {q1}), von q4 aus gelangt man mit „a“
nirgendwohin (bilde die leere Menge {}). Dann vereinige die gefundenen
Ergebnismengen. Es ergibt sich die Menge {q1}. Also gilt:
. Wohin gelangt man jeweils bei einer weiteren Eingabe von
„a“? Von q2 aus gelangt man nach q1 (also bilde die Menge {q1}), von q4 aus gelangt man mit „a“
nirgendwohin (bilde die leere Menge {}). Dann vereinige die gefundenen
Ergebnismengen. Es ergibt sich die Menge {q1}. Also gilt:  .
.
Wir beweisen nun bei diesem NFA, dass er die Sprache  abbildet. Wir
verwenden hierbei Induktion.
 abbildet. Wir
verwenden hierbei Induktion.
Induktionsverankerung (n <= 2):
                   
Induktionsschritt:
Man beweise durch Induktion
 :
:
                   
Diese Behauptung müsste nun per Induktion formal bewiesen werden.
Gesamtbeweis
Zusammenfassend mit dem gelungenen Induktionsbeweis folgt also:
                    
                                                
Da jeder DFA ein NFA ist, ist es klar[2], dass die Klasse der Sprachen, welche ein NFA akzeptiert die Sprachen enthält, die von einem DFA akzeptiert werden. Es stellt sich jedoch heraus, dass auch nur diese Sprachen von NFA akzeptiert werden. Der Beweis dafür baut darauf auf, dass gezeigt werden kann, dass ein DFA einen NFA simulieren kann. (Für jeden NFA kann ein equivalenter DFA konstruiert werden.) Der DFA simuliert einen NFA indem die einzelnen Zustände des DFA den Mengen von Zuständen des NFA entsprechen. Der so konstruierte DFA überwacht all die Zustände, die der NFA durch die selbe Eingabefolge erreichen (wie der DFA) könnte. Somit gelangt man zu dem folgendem Theorem:
Wenn  eine akzeptierte Sprache für einen nichdeterministischen
endlichen Automaten ist, dann existiert ein deterministischer endlicher
Automat, der auch
eine akzeptierte Sprache für einen nichdeterministischen
endlichen Automaten ist, dann existiert ein deterministischer endlicher
Automat, der auch  akzeptiert. In anderen Worten: Sei
akzeptiert. In anderen Worten: Sei  eine Sprache, dann sind folgende Aussagen gleichwertig:
eine Sprache, dann sind folgende Aussagen gleichwertig: 
1.        für einen
deterministischen endlichen Automaten
 für einen
deterministischen endlichen Automaten 
2.      
 für einen
nichtdeterministischen endlichen Automaten
 für einen
nichtdeterministischen endlichen Automaten 
Sei  ein NFA, welcher die Sprache
ein NFA, welcher die Sprache  akzeptiert. Ein DFA
akzeptiert. Ein DFA  sei dann wie folgt
definiert: Die Zustände von
 sei dann wie folgt
definiert: Die Zustände von  sind alle Teilmengen
der Menge der Zustände von M. Das heißt:
 sind alle Teilmengen
der Menge der Zustände von M. Das heißt:  .
.  wird alle Zustände behandeln, welche auch
wird alle Zustände behandeln, welche auch  behandeln kann.
behandeln kann.  ist die Menge, der Zustände von
ist die Menge, der Zustände von  , welche einen Endzustand von
, welche einen Endzustand von  enthalten. Ein Element von
enthalten. Ein Element von  wird dargestellt, als
wird dargestellt, als  , wobei
, wobei  aus
aus  stammen. Zu beachten ist, dass
stammen. Zu beachten ist, dass  ein einziger Zustand
des DFA darstellt. Weiterhin ist
 ein einziger Zustand
des DFA darstellt. Weiterhin ist  .
.
Wir definieren nun:
                    
                                                                   
dann und nur dann, wenn:
                    
                                                                    
In anderen Worten,  angewendet auf
angewendet auf  von
 von  wird berechnet, durch anwenden von
wird berechnet, durch anwenden von  auf jeden Zustand von
auf jeden Zustand von  , welcher durch
, welcher durch  repräsentiert wird. Durch das Anwenden von
repräsentiert wird. Durch das Anwenden von  auf alle
auf alle  und vereinigen der Ergebnisse, erhalten wir eine neue Menge von Zuständen,
und vereinigen der Ergebnisse, erhalten wir eine neue Menge von Zuständen,  . Diese neue Menge hat einen Vertreter
. Diese neue Menge hat einen Vertreter  in
 in  und dieser ist der
Wert von
 und dieser ist der
Wert von  .
.
Es lässt sich nun durch
Induktion über die Länge eines Eingabestrings  zeigen, dass
zeigen, dass
                    
                                                                                        
dann und nur dann gilt, wenn:
                    
                                                                                         
Induktionsverankerung:
Man sieht leicht, dass für  die Behauptung gilt, da
die Behauptung gilt, da  und
 und  gleich
gleich  sein muss.
sein muss. 
Induktionsschritt:
Angenommen, die Behauptung
ist wahr für Eingaben der Länge  . Weiterhin sei
. Weiterhin sei  eine Kette der Länge
eine Kette der Länge  mit
 mit  in
in  . Dann gilt:
. Dann gilt: 
                    
                                                                              
Aufgrund der Behauptung ist:
                    
                                                                                     
dann und nur dann wahr, wenn:
                    
                                                                                       
gilt. Doch mit der
Definition von  gilt:
gilt: 
                    
                                                                        
dann und nur dann, wenn:
                    
                                                                         
gilt. Somit ist:
                    
                                                                                      
dann und nur dann, wenn:
                    
                                                                                       
und das unterstützt die Behauptung. Um den Beweis zu
vollenden, muss nur noch hinzugefügt werden, dass  genau dann zu
 genau dann zu  führt, wenn
führt, wenn  einen Zustand von
 einen Zustand von  enthält, der in
 enthält, der in  liegt. Somit ist
liegt. Somit ist 
Soweit der Beweis des Buches, in der Vorlesung haben wir den Beweis nur geringfügig anders gehört.
Zur Wiederholung hier noch einmal den zu beweisenden Satz:
Sei  eine Sprache, dann sind folgende Aussagen gleichwertig:
eine Sprache, dann sind folgende Aussagen gleichwertig: 
1.        für einen
deterministischen endlichen Automaten
 für einen
deterministischen endlichen Automaten 
2.      
 für einen
nichtdeterministischen endlichen Automaten
 für einen
nichtdeterministischen endlichen Automaten 
„Hinrichtung“:
Zuerst zeigen wir hier, mit einfachen Definitionen, aus 1
folgt 2. Gegeben sei ein DFA  mit
 mit  . Dieser Automat akzeptiert die Sprache
. Dieser Automat akzeptiert die Sprache  nach Definition. Nun definieren wir uns dazu einen NFA
nach Definition. Nun definieren wir uns dazu einen NFA  mit einer
Übergangsfunktion
 mit einer
Übergangsfunktion  .
.
Diese Übergangsfunktion ist wie folgt definiert:
                    
                                                                                        
Aus dieser Definition folgt nun schon, dass  ein
nichtdeterministischer Automat ist. Der einzige Unterschied zum DFA besteht
darin, dass die Übergangsfunktion so definiert ist, dass sie eine Menge von Folgezuständen liefert. In unserem Fall sind dies jedoch alles
einelementige Mengen.
 ein
nichtdeterministischer Automat ist. Der einzige Unterschied zum DFA besteht
darin, dass die Übergangsfunktion so definiert ist, dass sie eine Menge von Folgezuständen liefert. In unserem Fall sind dies jedoch alles
einelementige Mengen. 
Durch Induktion über alle  kann man dies zeigen:
kann man dies zeigen:
                    
                                                 
In diesem Beweis ist ausgenutzt worden, dass ein Wort nur
dann von einem NFA erkannt wird, wenn die Menge von  eine Teilmenge von
 eine Teilmenge von  ist. Dies bedeutet
für einen gleichwertigen DFA, dass dieses
 ist. Dies bedeutet
für einen gleichwertigen DFA, dass dieses  sein muss, um
akzeptiert zu werden. Dies war bei uns nach Definition der Fall.
 sein muss, um
akzeptiert zu werden. Dies war bei uns nach Definition der Fall. 
Rückrichtung:
Nun bleibt noch zu zeigen, dass der umgekehrte Fall gilt.
Sprich, wir haben einen NFA gegeben und wollen daraus einen DFA konstruieren.
(Aus 2 folgt 1): Hier sei ein NFA  mit einer
Übergangsfunktion
 mit einer
Übergangsfunktion  gegeben. Auch dieser Automat soll nach Definition die Sprache
gegeben. Auch dieser Automat soll nach Definition die Sprache
 akzeptieren.
 akzeptieren.
Wir definieren nun einen
DFA  wie folgt:
 wie folgt:
                    
                                                  
Der so definierte Automat ist ein deterministischer endlicher Automat. Nun bleibt zu zeigen, dass jeder Zustand, den der DFA erreicht, der Menge von Zuständen entspricht, die der NFA erreicht hätte:
                    
                                                                       
Dies wird wieder durch Induktion über die Länge der Eingaben bewiesen.
Induktionsbehauptung:
                    
                                                                    
Induktionsverankerung (n=0):
 Man sieht leicht, dass für leere Eingaben der Definition der
Man sieht leicht, dass für leere Eingaben der Definition der  -Funktion nach das selbe Ergebnis (das Bleiben im Startzustand
-Funktion nach das selbe Ergebnis (das Bleiben im Startzustand  ) erreicht wird.
) erreicht wird. 
Induktionsschritt ( ):
):
                    
                                    
Bei diesem Beweis haben wir folgendes Wissen angewendet.
Da es ein DFA ist, nimmt man den Zustand, der mit den ersten  Symbolen (Von diesen
wissen wir aufgrund der Behauptung, dass für diese die Übergangsfunktion
 Symbolen (Von diesen
wissen wir aufgrund der Behauptung, dass für diese die Übergangsfunktion  gleichwertig mit
gleichwertig mit  ist.) erreicht hat und vereinigt diesen mit dem Zustand, der
durch das
ist.) erreicht hat und vereinigt diesen mit dem Zustand, der
durch das  Symbol erreicht wird. Und die Vereinigung der Teilmengen der ersten
 Symbol erreicht wird. Und die Vereinigung der Teilmengen der ersten  Symbole zusammen mit
dem Symbol
 Symbole zusammen mit
dem Symbol ist gleichbedeutend mit der Übergangsfunktion
ist gleichbedeutend mit der Übergangsfunktion  angewendet auf die Symbole
angewendet auf die Symbole  . Nun ist noch zu zeigen, dass auch die selben Wörter
akzeptiert werden.
. Nun ist noch zu zeigen, dass auch die selben Wörter
akzeptiert werden. 
                    
                                              
Auch dieser Beweis ist wieder mittels der Definitionen von
 geführt worden.
 geführt worden. 
Somit steht fest, dass es für alle nichtdeterministischen
endlichen Automaten  ein deterministischer
endlicher Automat
 ein deterministischer
endlicher Automat  existiert für den die
folgenden zwei Aussagen gelten:
 existiert für den die
folgenden zwei Aussagen gelten: 
1.       
2.      

Die erste Aussage haben wir eben bewiesen. Die zweite Aussage folgt aus der Betrachtung der möglichen Potenzmenge. Hier der kurze Induktionsbeweis.
Induktionsbehauptung:
Für alle  mit
 mit  gilt
 gilt  .
.
Induktionsverankerung:
Für  gilt
 gilt  .
.
Induktionsschritt ( ):
):
Bei der Betrachtung der Symbole  steht folgendes fest. Die Anzahl der Teilmengen ohne
steht folgendes fest. Die Anzahl der Teilmengen ohne  beträgt
 beträgt  . Die Anzahl der Teilmengen mit
. Die Anzahl der Teilmengen mit  beträgt
 beträgt  . Zusammen gibt dies:
. Zusammen gibt dies:  . Damit ist die Behauptung gezeigt.
. Damit ist die Behauptung gezeigt. 

Abbildung 7 – ein nichtdeterministischer, endlicher Automat M
Dieser Automat akzeptiert offensichtlich die Sprache  .
.
Ein deterministischer endlicher Automat könnte so aussehen:

Abbildung 8 - Der DFA, der zu' M äquivalent ist
In diesem Beispiel hat der DFA  9 Zustände, während
der NFA
 9 Zustände, während
der NFA  6 Zustände hatte. Und
das liegt noch einiges unter den maximal
 6 Zustände hatte. Und
das liegt noch einiges unter den maximal  möglichen Zuständen.
 möglichen Zuständen. 
Hier nun ein etwas komplexeres Beispiel. Es soll ein NFA
umgewandelt werden, der die Sprache  akzeptiert. Ein
solcher NFA kann so aussehen:
 akzeptiert. Ein
solcher NFA kann so aussehen: 

Abbildung 9: NFA zur Sprache L4
Einen DFA für die Sprache bildet dann:

Abbildung 10: der aus dem NFA erzeugte DFA für die Sprache L4
Bei diesem Beispiel benötigt der NFA 5 Zustände, der DFA jedoch 16 Zustände. Es stellt sich nun die Frage, ob diese Konstruktion auch wirklich minimal ist.
Für alle  gilt: Die Sprache
 gilt: Die Sprache  kann von einem
nichtdeterministischen Automaten mit
 kann von einem
nichtdeterministischen Automaten mit  Zuständen akzeptiert
werden. Dann folgt für jeden deterministischen Automaten
 Zuständen akzeptiert
werden. Dann folgt für jeden deterministischen Automaten  mit der Sprache
 mit der Sprache  
  .
.
Beweis:
Sei  gegeben. Weiterhin
auch ein NFA
 gegeben. Weiterhin
auch ein NFA  der diese Sprache akzeptiert, also
der diese Sprache akzeptiert, also  . Ein Graph dieses Automaten kann wie folgt aussehen:
. Ein Graph dieses Automaten kann wie folgt aussehen: 

Abbildung 11: NFA für die Sprache Ln
Sei nun weiterhin  ein DFA, der die selbe Sprache akzeptiert, also
ein DFA, der die selbe Sprache akzeptiert, also  .
.
Behauptung: Jedes Wort des möglichen
Eingabealphabetes (von  möglichen Wörtern) muss von dem Automaten unterschieden
werden können.
möglichen Wörtern) muss von dem Automaten unterschieden
werden können. 
                    
                                                             
Angenommen zwei gleichlange Wörter aus  , die unterschiedlich sind (d.h. sie unterscheiden sich nach
einigen gleichen Zeichen an einer Stelle, danach folgt ein Wort z) hätten
dieselben Nachfolgezustände.
, die unterschiedlich sind (d.h. sie unterscheiden sich nach
einigen gleichen Zeichen an einer Stelle, danach folgt ein Wort z) hätten
dieselben Nachfolgezustände. 
                    
                                                                       
Dann werden entweder beide Wörter akzeptiert, oder aber keines. In beiden Fällen macht der Automat einen Fehler.
                    
                                  
Der Widerspruch liegt darin, dass  Element der Sprache
 Element der Sprache  ist,
ist,  jedoch nicht,
trotzdem wird für beide Wörter die selbe Entscheidung getroffen, folglich
benötigt man für unterschiedliche Eingabewörter unterschiedliche Zustände. Die
maximale Anzahl der Zustände beträgt, wie schon vorher gezeigt
 jedoch nicht,
trotzdem wird für beide Wörter die selbe Entscheidung getroffen, folglich
benötigt man für unterschiedliche Eingabewörter unterschiedliche Zustände. Die
maximale Anzahl der Zustände beträgt, wie schon vorher gezeigt  .
.
                    
                                                        
Gegeben ist die folgende (reguläre) Sprache:
                    
                                                                    
Korollar:
Es gibt für jede dieser Sprachen einen nichtdeterministischen, endlichen Automaten, welcher mit n+1 Zuständen auskommt:
                    
                                          
Es gibt für jede dieser Sprachen einen deterministischen, endlichen Automaten, welcher mit weniger als 2n+1 Zuständen auskommt:
                    
                                            
Jeder deterministische, endliche Automaten, der eine dieser Sprachen beschreibt, besitzt mindestens 2n Zustände.
                    
                                                   
Satz:
Es gibt für jede dieser Sprachen einen nichtdeterministischen, endlichen Automaten, welcher mit n Zuständen auskommt:
                    
                                               
Jeder deterministische, endliche Automaten, der eine dieser Sprachen beschreibt, besitzt mindestens 2n Zustände.
                    
                                                   
Beweis:
Der Beweis gestaltet sich umfangreich, deswegen wird an dieser Stelle darauf verzichtet.
Man spricht von einer „Äquivalenzrelation“, wenn eine Relation reflexiv, transitiv und symmetrisch ist, und von einer Ordnung, wenn eine Relation reflexiv, transitiv und antisymmetrisch ist. Zum Beispiel ist die normale Vergleichsoperation auf der Menge der reellen Zahlen („=“) eine Äquivalenzrelation, und die kleiner-gleich-Operation („£“) eine Ordnung.
Unter dem „Index“ einer Äquivalenzrelation versteht man die Maximalzahl paarweise verschiedener Äquivalenzklassen.
Eine Äquivalenzrelation  auf einer algebraischen Struktur
 auf einer algebraischen Struktur  mit einer binären Verknüpfung
 mit einer binären Verknüpfung  heißt „rechts-invariant“
 heißt „rechts-invariant“
                    
                                                                           
Eine Äquivalenzrelation  auf einer algebraischen Struktur
 auf einer algebraischen Struktur  mit einer binären Verknüpfung
 mit einer binären Verknüpfung  heißt „links-invariant“
 heißt „links-invariant“
                    
                                                                           
Eine Äquivalenzrelation  auf einer algebraischen Struktur
 auf einer algebraischen Struktur  mit einer binären Verknüpfung
 mit einer binären Verknüpfung  heißt „Kongruenzrelation“:
 heißt „Kongruenzrelation“:
Eine Kongruenzrelation ist eine mit der Struktur verträgliche Äquivalenzrelation. Zum Beispiel ist auf dem Körper der reellen Zahlen die Gleichheitsoperation („=“) bezüglich der Operationen „Addition“ („+“) und „Multiplikation“ („ד) eine Kongruenzrelation:
                    
                             
Eine „Quotientenmenge“ wird auf Basis einer Menge, und einer Kongruenzrelation definiert. Man versteht dann unter der „Quotientenmenge“ die Menge aller Äquivalenzklassen, welche (bezüglich der gegebenen Kongruenzrelation) innerhalb der gegebenen Menge existieren.
Gegeben sei die algebraische Struktur  und die Kongruenzrelation „~“. Unter der
„Quotientenmenge“ von
 und die Kongruenzrelation „~“. Unter der
„Quotientenmenge“ von  und ~ versteht man:
 und ~ versteht man:
                    
                                                                                             
Unter dem „Quotientenmonoid“ versteht man die
Zusammenfassung der Quotientenmenge mit einer Operation auf dieser Menge. Die Abbildung  (der Elemente der ursprünglichen Menge auf die der
Quotientenmenge) definiert man sinnvollerweise als einen Homomorphismus[3].
Die neue Operation für das Quotientenmonoid sei „
 (der Elemente der ursprünglichen Menge auf die der
Quotientenmenge) definiert man sinnvollerweise als einen Homomorphismus[3].
Die neue Operation für das Quotientenmonoid sei „ “.
“.
Das „Quotientenmonoid“ ergibt sich dann als:
                    
                                                                           
Die Rechenregeln für das Quotientenmonoid leiten sich direkt aus der homomorphen Eigenschaft der Abbildung her:
Man sieht an der obigen Herleitung, wie bedeutsam die Eigenschaften „Kongruenz“ und „Transitivität“ der Kongruenzrelation „~“ für die Quotientenmenge sind.
Beispiel 1:
Gegeben sei die Menge der natürlichen Zahlen  mit der Verknüpfung „ד (Multiplikation), und
ein Modul m. Zwei Zahlen gelten als äquivalent bezüglich „~“, wenn sie den
gleichen Rest bei einer Division durch m
abwerfen:
 mit der Verknüpfung „ד (Multiplikation), und
ein Modul m. Zwei Zahlen gelten als äquivalent bezüglich „~“, wenn sie den
gleichen Rest bei einer Division durch m
abwerfen:
                    
                                                                                  
Gemäß dieser Definition ist z.B. bei m=5 die Zahl 11 äquivalent zu 31: 11~31. Es handelt sich bei „~“ um eine Äquivalenzrelation, da die Bedingungen Reflexitivität, Transitivität und Symmetrie erfüllt sind (der Nachweis dieser Eigenschaften sollte keine Probleme bereiten).
Es handelt sich bei „~“ aber nicht nur um eine Äquivalenzrelation, sondern sogar um eine Kongruenzrelation. Der Nachweis hierfür ist etwas aufwendiger:
Nach gilt:

Die abschließende Implikation sollte nach kurzem Nachdenken für jedermann ersichtlicherweise korrekt sein; ein Beweis an dieser Stelle ist nicht nötig.
Daher gelten gemäß und die folgenden Rechengesetze:
                    
                                                                 
Sei S eine endliche Menge von Symbolen und seien L,
L1 und L2 Mengen von Zeichenketten
aus S*.
Die Konkatenation von L1
und L2 – geschrieben
als L1L2 –
ist die Menge  . Die Zeichenketten in L1L2 werden gebildet, indem man an eine
aus L1 gewählte
Zeichenkette eine Zeichenkette aus L2
anhängt und das in allen möglichen Kombinationen. Wir definieren nun:
. Die Zeichenketten in L1L2 werden gebildet, indem man an eine
aus L1 gewählte
Zeichenkette eine Zeichenkette aus L2
anhängt und das in allen möglichen Kombinationen. Wir definieren nun:
                    
                                                              
L* bezeichnet also alle Wörter, die durch die Konkatenation einer beliebigen Anzahl von Wörtern aus L entstehen.
Beispiel:
Sei  und
 und  . Dann ist
. Dann ist  . Ebenso gilt
. Ebenso gilt  .
.
Die von endlichen Automaten akzeptierten Sprachen lassen sich durch einfache Ausdrücke beschreiben, die als „reguläre Ausdrücke“ bezeichnet werden. Auf Grund dieser Äquivalenz werden die Sprachen der endlichen Automaten auch „reguläre Mengen“ genannt.
Oder umgekehrt: Reguläre Ausdrücke bilden einen Formalismus zur Beschreibung formaler Sprachen.
Zwei reguläre Ausdrücke heißen „äquivalent“, wenn sie die gleiche formale Sprache beschreiben (z.B. [ab]*a und a[ba]*). Die Äquivalenz regulärer Ausdrücke lässt sich über algebraische Gesetze zeigen.
Satz:
Die folgenden drei Aussagen sind äquivalent:
3.      
L ist reguläre
Sprache/reguläre Menge

4.      
L ist die
Vereinigung von einigen Äquivalenzklassen einer rechts-invarianten
Äquivalenzrelation von endlichem Index.

5. Sei RL eine Relation, die wie folgt definiert ist:
                    
                                                                    
Dann ist RL von endlichem Index.
Beweis:
1 Þ 2:
Wenn L eine reguläre Menge ist, dann existiert ein endlicher Automat (DFA/NFA), der exakt diese Menge beschreibt:
                    
                                             
Sei r eine Äquivalenzrelation, welche alle Wörter aus S*, die zu dem selben Zustand des Automaten führen, in einer Äquivalenzklasse zusammenfasst:
Die Äquivalenzrelation r ist rechts-invariant:
                    
                                        
Dann lässt sich hieraus die Behauptung folgern:
Wieso lässt sich diese Behauptung folgern? Nun, gehen wir
von dem Gegenteil aus, nämlich dass  . Das würde bedeuten, dass es mehr Wörter gibt, als es
Zustände gibt, die aber dennoch alle zu verschiedenen Zuständen führen. Der
Widerspruch dieser Annahme liegt auf der Hand.
. Das würde bedeuten, dass es mehr Wörter gibt, als es
Zustände gibt, die aber dennoch alle zu verschiedenen Zuständen führen. Der
Widerspruch dieser Annahme liegt auf der Hand.
Damit lässt sich die reguläre Menge L darstellen als Menge der Eingabewörter, welche zu einem der akzeptierenden Zustände des Automaten führt. Jeder akzeptierende Zustand des Automaten kann bezüglich der Äquivalenzrelation (definitionsgemäß) nur von einer Klasse von Eingabewörtern erreicht werden.
Die reguläre Menge L können wir darstellen als Vereinigung aller akzeptierenden Zustände des Automaten, und damit als Vereinigung einiger Äquivalenzklassen einer rechts-invarianten Äquivalenzrelation von endlichem Index:
                    
                                                                                                    
2 Þ 3:
Im vorangegangenen Teil wurde die Äquivalenzrelation r eingeführt, diese benutzen wir weiterhin. Darüber hinaus definieren eine (zweite) Äquivalenzrelation RL wie folgt:
Die Definition der Äquivalenzrelation RL ist etwas kompliziert. Textuell formuliert bedeutet , dass alle jenen Wörter aus S* in Relation stehen, die a) entweder beide in der Sprache enthalten sind, oder beide nicht in der Sprache enthalten sind; und b) die Bedingung a) auch dann noch erfüllen, wenn ihnen ein beliebiges Wort „angehängt wird“.
Die Definition dieser Äquivalenzrelation erinnert an die Zustandsminimierung via Implikationstafel. Man bezeichnet dabei alle Zustände als „äquivalent“, die bei den selben Eingabesymbolen in die selben Nachfolgezustände, oder in äquivalente Nachfolgezustände überführt werden.
Behauptung:
Beweis zu :
Bei dem Beweis machen wir uns die Tatsache zunutze, dass die Äquivalenzrelation r rechts-invariant ist:
                    
                        
Aus der Tatsache, dass jedes Paar von Eingabewörtern aus S*, dass in der Äquivalenzrelation r enthalten ist, automatisch auch in der Äquivalenzrelation RL enthalten ist, resultiert, dass die Äquivalenzklasse eines beliebigen Eingabewortes bezüglich der Äquivalenzrelation r eine Teilmenge der Äquivalenzklasse bezüglich der Äquivalenzrelation RL ist:
Daraus folgt, dass es bezüglich der Äquivalenzrelation r mindestens so viele (disjunkte) Äquivalenzklassen geben muss, wie bezüglich der Äquivalenzrelation RL:
Daraus wiederum folgt, dass auch der Index der Äquivalenzrelation RL endlich sein muß:
                    
                                                                                          
2 Þ 3:
Behauptung:
Die Äquivalenzrelation RL ist rechts-invariant.
Beweis:
                    
                                                                       
Mit dem bisher erlangten Wissen, ist es möglich, einen minimalen Automaten zu erstellen, der eine reguläre Sprache repräsentiert. Dieser Automat heißt „Nerode Automat“.
Zur Konstruktion des Nerode Automaten wird erneut die Äquivalenzrelation RL herangezogen, die wie folgt definiert ist:
                    
             
Die Menge der unterschiedlichen Äquivalenzklassen, die durch RL definiert werden, wird im Folgenden mit „QN“ bezeichnet:
Der Nerode Automat ist definiert als:
                    
                                   
mit
                    
                                                                                                
                    
                                                                                                  
dN ist damit wohldefiniert.
Im Folgenden wird gezeigt, dass die Übergangsfunktion dN wohldefiniert ist, d.h. ihre Definition repräsentantenunabhängig ist. Dazu ist es nötig, zu zeigen, dass die Übergangsfunktion für alle Eingabewörter, die äquivalent sind, den selben Nachfolgezustand liefert.
Zu zeigen:
                    
                                                           
Beweis:
                    
                                                                                  
Im Folgenden wird bewiesen, dass die Sprache, die der Nerode Automat erzeugt/definiert, eine reguläre Sprache ist.
                    
                                                                       
Im Folgenden wird bewiesen, dass der Nerode Automat minimal ist, d.h. dass jeder endliche Automat, der die selbe Sprache L definiert, mindestens genauso viele Zustände haben muß wie MN.
Satz:
Der Nerode Automat ist minimal.
Beweis:
Der Beweis ist ein Widerspruchsbeweis. Es wird angenommen, dass sehr wohl ein Automat existiert, der die selbe Sprache L definiert, der aber mit weniger Zuständen auskommt:
Die Definition der Äquivalenzrelation r wird aus , und übernommen:
                    
                                                                    
Weil die Menge QN der Menge der Äquivalenzklassen entspricht, die durch die Äquivalenzrelation RL definiert werden (siehe ), gilt:
Aus , , und folgt:
                    
                                                       
Satz:
Sei  ein minimaler Automat für eine Sprache L mit
 ein minimaler Automat für eine Sprache L mit  . Sei
. Sei  der Nerode Automat für L mit
 der Nerode Automat für L mit  . Dann ist M
isomorph zu MN. D.h.
es existiert ein Isomorphismus
. Dann ist M
isomorph zu MN. D.h.
es existiert ein Isomorphismus 
                    
                                                         
Beweis:
Weil sowohl M als auch MN minimal sind, müssen sie über die gleiche Anzahl an Zuständen verfügen:
                    
                                                                                                             
Sei h() so definiert, dass es jeden Zustand q aus der Menge der Zustände Q auf eine Äquivalenzklasse bezüglich der Äquivalenzrelation RL abbilde (wir erinnern uns: die Äquivalenzklassen bezüglich der Äquivalenzrelation RL liegen dem konstruierten Nerode Automaten zugrunde).:
                    
                                                                            
Gegeben seien zwei Gruppen S1
und S2 mit  und
 und  . Eine Abbildung
. Eine Abbildung  heißt Homomorphismus,
wenn für alle
 heißt Homomorphismus,
wenn für alle  gilt
 gilt
                    
                                                                                           
Eine Illustration verdeutlicht das

Ist eine homomorphe Abbildung bijektiv, so wird sie isomorph genannt. Man sagt, die Struktur beider Gruppen ist gleich, sie unterscheiden sich nur in den Bezeichnungen der Elemente.
Nachdem in den vorangegangenen Abschnitten gezeigt wurde, dass der Nerode Automat minimal ist, vergleichen wir ihn jetzt mit anderen minimalen Automaten. Dabei werden wir feststellen, dass alle minimalen Automaten (DFA) einer Sprache L die gleiche "Verdrahtung" ihrer Zustände haben und sich lediglich in der Bezeichnung der Zustände unterscheiden, sie also isomorph sind.
Sei L eine Sprache, die von einem minimalen Automaten M und dem Nerode Automaten MN erkannt wird
                    
                                                           
dann seien M und MN wie oben beschrieben isomorph, d. h. es existiert ein Homomorphismus
                    
                                                                                       
Das wird in folgendem Schaubild illustriert

Abbildung 13 - Homomorphismus zwischen Automat M und Nerode Automat
Es existiert eine Abbildung h, die alle Zustände von M in Zustände in MN (Äquivalenzklassen) überführt. Formal ausgedrückt
                    
                                                                              
Hier stellt sich die Frage, ob h eindeutig definiert ist. Alle Wörter x und y, die den Automaten M in den gleichen Zustand überführen, müssen auch MN in die gleiche Äquivalenzklasse überführen. Zu Zeigen ist, dass x und y der gleichen Äquivalenzklasse von RL angehören.
                    
                                                                             
Beweis:
Zum Beweis führen wir eine neue Äquivalenzrelation ~ ein
                    
                                                                     
Überführen zwei Wörter x und y den Automaten in den gleichen Zustand, so sind sie äquivalent. Da die Anzahl der Zustände der oben betrachteten Automaten minimal und gleich ist, gilt für den Index (die Anzahl der maximal paarweise verschiedenen Äquivalenzklassen) der ~ Relation
                    
                                                                                               
Weiterhin gelte
                    
                                  
Somit ist h als eindeutige Abbildung von Zuständen Q auf Äquivalenzklassen aus QN definiert.
Könnte es Zustände q in Automat M geben, für die h(q) nicht definiert ist?
                    
                                           
Wenn ein solcher Zustand existieren würde, dann gebe es kein Wort x, dass den Automaten in diesen Zustand überführt und der Zustand somit überflüssig. Damit wäre M nicht mehr minimal und ein Widerspruch läge vor. h ist für alle Zustände q aus Q definiert.
Surjektivität von h
                    
                                                           
Injektivität von h
Wenn  zwei verschiedene
Zustände aus Q sind und [x] und [y] ihre Abbildungen in QN, dann
gilt
 zwei verschiedene
Zustände aus Q sind und [x] und [y] ihre Abbildungen in QN, dann
gilt 
                    
                                                                               
Dann sind x und y nicht äquivalent zueinander (bezüglich
der ~ Relation) und damit gilt Injektivität von h ( gilt immer).
 gilt immer).
Isomorphismus von h
Da h injektiv und surjektiv, ist die Abbildung bijektiv. h ist daher ein Isomorphismus. Für einen Zustand q existiert ein x, dass den Automaten M in diesen Zustand überführt.
                    
                                                                                  
                    
                                                                         
Die Herleitung zeigt, dass es egal ist, ob die Konkatenation von x und a zunächst in der Urmenge (die Zustände von Q) stattfindet und dann nach QN abgebildet wird oder umgekehrt.
Damit ist h isomorph und als Korollar kann festgestellt werden, dass alle minimalen Automaten (DFA) isomorph sind. Anders ausgedrückt sind alle minimalen Automaten bis auf Isomorphien eindeutig bestimmt. Die Verdrahtung der Zustände ist gleich, lediglich die Zustandsbezeichnung kann variieren.
Endliche Automaten können sich in einem nicht minimalen Zustanden befinden. Mit einiger Logik und Transformation lassen sie sich in minimale Automaten überführen, die isomorph zum Nerode Automaten sind (wenn es sich denn um DFAs handelt - bei NFAs ist die Anzahl der nicht isomorphen minimalen Automaten u. U. beliebig groß).
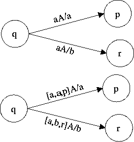
Für die Minimierung - auch Zustandsreduktion genannt - führen wir zunächst eine neue Äquivalenzrelation k zwischen zwei Zuständen q und q' ein. Zustände sind bezüglich k äquivalent, wenn sie Wörter x, deren Länge kleiner gleich k ist, in einen Endzustand überführen oder beide Zustände die Wörter nicht in einen Endzustand überführen.
Der Betrachtung zugrunde liegt ein endlicher Automat  mit q und q' Zuständen aus Q. Dann seien folgende
Äquivalenzrelationen definiert
mit q und q' Zuständen aus Q. Dann seien folgende
Äquivalenzrelationen definiert
                    
                                          
Scheinbar besteht zwischen der auf eine Wortlänge k beschränkten und der allgemeinen ~ Relation ein Zusammenhang. Daher behaupten wir
Behauptung:
                    
                                                       
Beweis:
Die genau-dann-wenn Beziehung der obigen Behauptung beweisen wir in beide Richtungen. Wenn die k Relation gilt, dann muß auch die k-1 Relation gelten, da die k Relation alle Wörter enthält, die auch in k-1 enthalten sind.
Seien ein Wort  und ein Zeichen
 und ein Zeichen  beliebig gewählt, dann gilt
beliebig gewählt, dann gilt
                    
                 
und die Zustände q und q' gehören zur k-1 Relation
                    
                                                                                                
Damit ist gezeigt
                    
                                                                                                     
Gilt bereits die k-1 Relation, so zeigen wir, dass
die Behauptung in der anderen Richtung gilt. Für  gilt
 gilt 
                    
                                                                                   
Sei  und
 und  . Dann läßt sich zeigen
. Dann läßt sich zeigen
                    
                                          
Somit gilt die Behauptung auch in der anderen Richtung
                    
                                                                                                     
Zwischen Äquivalenzrelationen lassen sich Beziehungen ausdrücken, d. h. sie können kongruent oder verschieden sein. Nehmen wir die beiden Äquivalenzrelationen r1 und r2 die auf der Menge S liegen. Sind die r1 und r2 kongruent, dann
                    
                                                                    
Andernfalls ist eine Relation kleiner oder echt kleiner als die andere. Man spricht von Verfeinerung
                    
                                                                             
Betrachtet man die k Relationen, dann enthält die k Relation höchstens gleich viele Zustände wie die k‑1 Relation. k ist daher eine Verfeinerung von k-1
                    
                                                                                                                 
Wir behaupten zudem
                    
                                                                                      
Beweis:
Die Behauptung kann man durch Induktion beweisen. Für s = 0 ist die Aussage klar, da es sich um dieselbe Relation k handelt. Für alle weiteren nehmen wir an, dass
                    
                                                                                                                 
bereits gelte. Dann kann man auf k+s+1 gehen
                    
                                                   
Korollar:
Der Index der k‑1 Relation ist kleiner als der der k Relation
                    
                                                                                            
Damit haben wir als Ausgangspunkt für weitere Betrachtungen folgende Aussagen zusammengestellt
                    
                                                                                                                 
                    
                                                                                            
                    
                                                                                        
Sei  ein endlicher
deterministischer Automat mit der Mächtigkeit
 ein endlicher
deterministischer Automat mit der Mächtigkeit  . Dann gilt:
. Dann gilt:  .
.
Der Beweis der „Hinrichtung“. ist trivial und folgt auch schon aus dem Satz der letzten Vorlesung. Die „Rückrichtung“ ist da schon komplizierter. Der Beweis erfolgt indirekt. Angenommen die beiden Relationen währen nicht identisch:
                    
                                                                                           
Grundsätzlich gilt, dass ~ eine Verfeinerung von  ist. Damit muss
 ist. Damit muss  eine echte Verfeinerung von
eine echte Verfeinerung von  sein, denn sonst wäre ja
sein, denn sonst wäre ja  , was ein Widerspruch zur Annahme wäre.
, was ein Widerspruch zur Annahme wäre. 
Durch eine Betrachtung der Anzahl der Klassen der Zustände
( ) erkennt man schnell, dass es mindestens eine Klasse von
Zuständen geben muss, und zwar die der akzeptierenden Zustände. Da weiterhin
gilt, dass
) erkennt man schnell, dass es mindestens eine Klasse von
Zuständen geben muss, und zwar die der akzeptierenden Zustände. Da weiterhin
gilt, dass  eine echte Verfeinerung von
eine echte Verfeinerung von  ist, sind alle
anderen Relationen echte Verfeinerungen (also gilt
 ist, sind alle
anderen Relationen echte Verfeinerungen (also gilt  ). Die Anzahl der Klassen wächst durch jeden Index um eins.
Führt man diesen Gedankengang fort und beachtet, dass es alles echte
Verfeinerungen sind, so gelangt man für den
). Die Anzahl der Klassen wächst durch jeden Index um eins.
Führt man diesen Gedankengang fort und beachtet, dass es alles echte
Verfeinerungen sind, so gelangt man für den  zu dem Schluss, dass
dieser mindestens
 zu dem Schluss, dass
dieser mindestens  Klassen enthalten
muss.
 Klassen enthalten
muss. 
                    
                          
Dies ist allerdings ein Widerspruch, da es höchstens  (mit
 (mit  ) Äquivalenzklassen auftreten können.
) Äquivalenzklassen auftreten können. 
Sei nun ~ weiterhin wie
bisher definiert. Dann gibt es zu dem endlichen Automaten  einen äquivalenten
minimalen Automaten
 einen äquivalenten
minimalen Automaten  . Dabei ist:
. Dabei ist: 
                    
                                                                                      
Dieser Automat wird wie folgt konstruiert, als Zustände nehme man die Äquivalenzklassen der Zustände. Als akzeptierte Zustände gelten die Äquivalenzklassen der Tilderelation von F.
Damit ist  ein minimaler Automat
mit
 ein minimaler Automat
mit  .
. 
Aber ist dieser Automat auch wirklich minimal, oder nur ein reduzierter Automat? Gezeigt wird dies durch den folgenden Beweis:
 ist mit :
 ist mit :
                    
                                                                               
wohldefiniert, aus folgendem Grund: Wenn  und
 und  in der selben
Äquivalenzklasse liegen und die Relation definiert sind, dann ist auch
 in der selben
Äquivalenzklasse liegen und die Relation definiert sind, dann ist auch  mit
 mit  in Relation.
 in Relation. 
Mit der Definition von  gilt dann:
gilt dann:
                    
                                                     
Somit akzeptieren also beide Automaten die selbe Sprache. Die Frage ist nun, ob dieser Automat auch minimal ist.
Zuerst definieren wir die  Relation als:
Relation als: 
                    
                                                                     
Weiterhin wissen wir über
diesen Automaten, dass der  , da jeder Zustand erreichbar ist. Somit wissen wir, dass die
, da jeder Zustand erreichbar ist. Somit wissen wir, dass die
 Relation die Nerode-Automat Relation
Relation die Nerode-Automat Relation  verfeinert:
verfeinert: 
                    
                                                                                              
Gilt nun auch, die
Umkehrung? Folgt aus  ? Der Beweis erfolgt durch Kontraposition.
? Der Beweis erfolgt durch Kontraposition.
                    
                                                                                              
Die Klassen können nicht gleich sein, da es die Elemente nicht in der ~ Relation gibt. Es gibt daher ein Element z, so dass:
                    
                
Die beiden Relationen sind also gleichwertig:  . Und die Minimalzahl der Zustände ist:
. Und die Minimalzahl der Zustände ist:  Und damit ist
gezeigt, dass der Automat
 Und damit ist
gezeigt, dass der Automat  minimal ist.
 minimal ist. 
Nachdem wir wissen, dass die Bestimmung der
Äquivalenzklassen  definiert ist für:
 definiert ist für: . Eine Konstruktion, die den (bis auf Isomorphie) eindeutig
bestimmten minimalen endlichen Automaten (
. Eine Konstruktion, die den (bis auf Isomorphie) eindeutig
bestimmten minimalen endlichen Automaten ( mit
 mit  ) liefert benötigt die folgende Eigenschaft:
) liefert benötigt die folgende Eigenschaft: 
                    
                                                      
Sei  ein endlicher
Automat. Dann gelangt man durch die folgenden Schritte zu dem minimalen
Automaten:
 ein endlicher
Automat. Dann gelangt man durch die folgenden Schritte zu dem minimalen
Automaten:
1.       Man
beseitige alle nicht-erreichbaren Zustände, d.h. alle Zustände q, für die gilt  . (Es stellt sich natürlich die Frage, in wie weit dieses
Problem algorithmisch lösbar ist. Ein möglicher Algorithmus könnte alle durch Wörter der Länge
. (Es stellt sich natürlich die Frage, in wie weit dieses
Problem algorithmisch lösbar ist. Ein möglicher Algorithmus könnte alle durch Wörter der Länge  erreichbaren Zustände
betrachten. Damit kommt man durch alle erreichbaren Zustände.)
 erreichbaren Zustände
betrachten. Damit kommt man durch alle erreichbaren Zustände.)
2.      
 hat maximal zwei Äquivalenzklassen. Zum einen die
akzeptierenden Zustände und dann noch die nicht akzeptierenden Zustände:
hat maximal zwei Äquivalenzklassen. Zum einen die
akzeptierenden Zustände und dann noch die nicht akzeptierenden Zustände: 
3.      
Angenommen, man hat die Äquivalenzklassen der Relation  für
für  , dann bestimmt man die Klassen der Relation
, dann bestimmt man die Klassen der Relation  wie folgt:
wie folgt:
Zunächst wird nun die folgende Tabelle aufgestellt:
| 
 | 
 | 
 | |
| 
 | 
 | 
 | 
 | 
| 
 | 
 | 
 | 
 | 
| 
 | 
 | 
 | 
 | 
Alle Felder  erhalten also als
Eintrag
 erhalten also als
Eintrag  .  Nun formt man die
Klassen von
.  Nun formt man die
Klassen von  , indem man alle Zustände, die bereits bei
, indem man alle Zustände, die bereits bei  in einer Klasse waren und die in obiger Liste gleiche
„Zeilen“ haben in jeweils eine Klasse der Relation
in einer Klasse waren und die in obiger Liste gleiche
„Zeilen“ haben in jeweils eine Klasse der Relation  schreibt.
 schreibt. 
4.      
Wenn nun  äquivalent zu
 äquivalent zu  ist (was, wie schon
gezeigt, spätestens bei
 ist (was, wie schon
gezeigt, spätestens bei  eintreten muss), dann bricht das Verfahren ab. Wir bilden
dann die ~ Relation durch Setzen, von
eintreten muss), dann bricht das Verfahren ab. Wir bilden
dann die ~ Relation durch Setzen, von  .
.
5.      
Der minimale Automat  wird letztlich wie oben schon beschrieben konstruiert:
wird letztlich wie oben schon beschrieben konstruiert: 
                    
                                                                                        
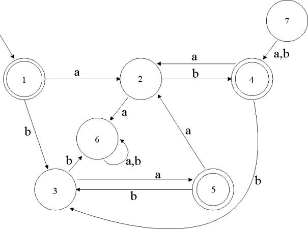
Wir betrachten einen Automaten  , welcher die Sprache
, welcher die Sprache  akzeptieren soll. Ein
Automat, der dies löst ist in folgender Grafik aufgelistet. Dabei ist zu
beachten, dass der Zustand 7 nicht erreicht werden kann.
 akzeptieren soll. Ein
Automat, der dies löst ist in folgender Grafik aufgelistet. Dabei ist zu
beachten, dass der Zustand 7 nicht erreicht werden kann. 

Abbildung 14: Beispiel eines nicht minimalen Automaten
Durch das Anwenden des oben beschriebenen Algorithmus gelangt man schnell zu folgender Tabelle:
| 
 | 
 | Fehler! Es ist nicht möglich, durch die Bearbeitung von Feldfunktionen Objekte zu erstellen. | 
| 
 | 
 | 
 | 
| 
 | a | b | 
| 
 | 1.        2.      
   3.      
   4.      
   5.      
   6.      
   | 
 
 
 
 
 
 | 
| 
 | Folglich sind die Klassen von  
 | |
| 
 | a | b | 
| 
 | 1.        2.      
   3.      
   4.      
   5.      
   6.      
   | 
 
 
 
 
 
 | 
| 
 | Folglich sind die Klassen von  
 | |
An dieser Stelle sind wir
dann auch schon fertig, da wir sehen, dass die Klassen  und
 und  schon äquivalent
sind, somit ist die ~ Relation definiert durch:
 schon äquivalent
sind, somit ist die ~ Relation definiert durch: 
                    
                                                                                                                   
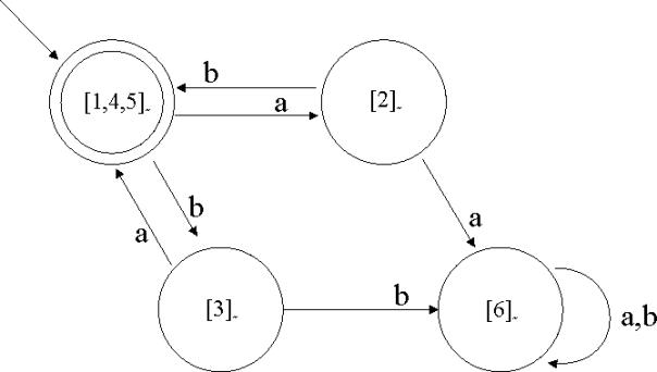
Es bleibt nur noch den endgültigen Automaten  aufzustellen. Dieser
sieht dann, so aus, wie in der folgenden Abbildung gezeigt.
 aufzustellen. Dieser
sieht dann, so aus, wie in der folgenden Abbildung gezeigt.

Abbildung 15 der minimierte Automat M'
Viele Operationen auf regulären Mengen erhalten die Eigenschaft der Regularität. Dies bedeutet, daß die Operationen angewandt auf den regulären Mengen wieder zu einer regulären Menge führt.
Mit Hilfe dieser als Abgeschlossenheit bezeichneten Eigenschaften kann man also aus gegebenen regulären Mengen wieder neue Mengen schaffen, die von endlichen Automaten akzeptiert werden.
Man kann die Abschlußeigenschaften auch dazu verwenden, um zu zeigen, dass eine bestimmte gegebene Sprache regulär (bzw. nicht regulär) ist, indem man über die Abschlußeigenschaften auf bereits bekannte Sprachen zurückgeht.
Es gelten die folgenden Abschlußeigenschaften regulärer Mengen:
Zu , und findet man die entsprechenden Beweise im Beweis über die Äquivalenz von regulären Ausdrücken und einem NFA mit e-Bewegungen.
Zu Zeigen: 
Beweis:
Sei  ein DFA mit L=T(M).
Dann definieren wir einen DFA M‘ wie folgt:
 ein DFA mit L=T(M).
Dann definieren wir einen DFA M‘ wie folgt:
                    
                                                                                        
Es zeigt sich nun folgendes:
Fehler! Es ist nicht möglich, durch die Bearbeitung von Feldfunktionen Objekte zu erstellen.
Also: 
Zu zeigen: 
Beweis:
Dies zeigt man sehr schnell über die Regeln von deMorgan.
Es gilt nämlich  und mit der
Abgeschlossenheit unter Komplement- und Vereinigungsbildung folgt automatisch
die Abgeschlossenheit unter Schnittbildung.
 und mit der
Abgeschlossenheit unter Komplement- und Vereinigungsbildung folgt automatisch
die Abgeschlossenheit unter Schnittbildung. 
Definition:
Eine Substitution f
ist eine Abbildung  . F assoziiert also mit jedem Symbol aus S
eine Sprache. Wir erweitern f auf Zeichenketten:
. F assoziiert also mit jedem Symbol aus S
eine Sprache. Wir erweitern f auf Zeichenketten:
1.       
2.      

Beispiel:
Ist  . Damit ist f(010) die reguläre Menge
. Damit ist f(010) die reguläre Menge  .
.
Satz:
Die Klasse der regulären Mengen ist unter Substitution abgeschlossen.
Beweis:
Sei  eine reguläre Menge und
 eine reguläre Menge und  . Sei weiter
. Sei weiter  die Substitution, die
durch f(a)=Ra definiert ist.
 die Substitution, die
durch f(a)=Ra definiert ist.
Wir wählen reguläre Ausdrücke zur Bezeichnung von R und allen Ra.
Man ersetze nun jedes Auftreten des Symbols a im regulären Ausdruck für R durch den regulären Ausdruck für Ra.
Um zu beweisen, dass der resultierende reguläre Ausdruck  beschreibt, wird
verwendet, dass die Substitution einer Vereinigung, eines Produkts oder einer
Hülle gleich der Vereinigung, dem Produkt bzw. der Hülle der Substitution ist
(also homomorph).
 beschreibt, wird
verwendet, dass die Substitution einer Vereinigung, eines Produkts oder einer
Hülle gleich der Vereinigung, dem Produkt bzw. der Hülle der Substitution ist
(also homomorph).
Mit einer Induktion über die Anzahl der Operatoren im regulären Ausdruck vervollständigt man leicht den Beweis.
Zu zeigen: 
Beweis:
Die Abgeschlossenheit unter Homomorphismen folgt sofort aus der Abgeschlossenheit unter Substitutionen, da ein Homomorphismus ein Spezialfall der Substitution ist, bei der h(a) für alle a gegeben wird.
Zu zeigen: 
Beweis:
Es seien  und
 und  ein Homomorphismus.
 ein Homomorphismus.
Wir konstruieren einen DFA
M1, der  akzeptiert, indem er
ein Symbol a aus S1 liest und M1
auf h(a) simuliert. Wir geben die Definition an:
 akzeptiert, indem er
ein Symbol a aus S1 liest und M1
auf h(a) simuliert. Wir geben die Definition an:
                    
                                                                     
Zu beachten ist, dass h(a) eine lange Zeichenkette oder aber auch das leere Wort sein kann. Dies ist aber kein Problem, da d mittels Erweiterung auch auch Zeichenketten operiert.
Durch Induktion über die Wortlänge des Wortes x kann man leicht zeigen, dass gilt
                    
                                                                                        
Daher wird x von M1 genau dann akzeptiert, wenn
h(x) von M1 akzeptiert wird. Wir haben also einen DFA gebaut mit  . Damit gilt auch
. Damit gilt auch  .
.
Aus den vorhergehenden Vorlesungseinheiten sind die sogenannten „Abschlusseigenschaften“ bekannt:
Weiterhin nehmen wir zur Kenntnis[4]:
In den folgenden Beispielen wird durch die Kombination des Wissens von mit den Aussagen der Abschlusseigenschaften der Beweis für einen neuen Zusammenhang erbracht.
Behauptung:
Die folgende Aussage ist falsch: „Wenn anbn nicht regulär ist, kann auch eine „größere“ Sprache wie a*b* nicht regulär sein.“ Tatsächlich gilt, dass anbn nicht regulär ist, und a*b* regulär ist.
Zu zeigen sei:
Wir führen einen Widerspruchsbeweis durch, und nehmen an:
Wir definieren eine homomorphe Funktion h() wie folgt:
lässt sich mit Hilfe von umschreiben zu:
Gemäß gilt:
Aus und folgt:
                    
                                          
Zu zeigen sei:
                    
                                                           
Wir führen einen Widerspruchsbeweis durch, und nehmen an:
Wir definieren eine zweite Sprache L1 wie folgt:
Aus folgt, dass die Schnittmenge zweier regulärer Mengen erneut regulär ist, daher folgt:
                    
                                                                                                           
lässt sich umschreiben zu:
Aus und folgt:
                    
                             
Zu zeigen sei:
Wir führen einen Widerspruchsbeweis durch, und nehmen an:
                    
                                                                                                            
Wir definieren eine homomorphe Funktion h() wie folgt:
lässt sich mit Hilfe von umschreiben zu:
Gemäß gilt:
Aus und folgt:
                    
                                         
Zu zeigen sei:
Wir führen einen Widerspruchsbeweis durch, und nehmen an:
                    
                                                                                                            
Wir definieren eine zweite Sprache L1 wie folgt:
Aus folgt, dass das Komplement einer regulären Menge, und auch die Schnittmenge zweier regulärer Mengen erneut regulär ist, daher folgt:
                    
                                                                                                           
Wir definieren eine homomorphe Funktion h() in eine weitere, neue Sprache L2 wie folgt:
                    
                                       
Aus folgt, dass die umgekehrte Anwendung einer homomorphen Abbildung auf eine reguläre Menge erneut regulär ist:
                    
                                                                                                          
Wir definieren nun eine dritte Sprache:
                    
                                                            
Aus folgt, dass die Schnittmenge zweier regulärer Menge erneut regulär ist:
                    
                                                                                                          
Wir definieren eine zweite, homomorphe Funktion h() in eine weitere, neue Sprache L4 wie folgt:
                    
                                                                           
Wir definieren nun eine fünfte Sprache:
                    
                                                                        
Aus folgt, dass die Schnittmenge zweier regulärer Menge erneut regulär ist:
                    
                                                                 
Wir verwenden dieses Mal ein erweitertes Alphabet S:
                    
                                                                              
Zu zeigen sei:
Wir führen einen Widerspruchsbeweis durch, und nehmen an:
                    
                                                                                                            
Wir definieren eine homomorphe Funktion h() wie folgt:
Gemäß gilt:
Aus und folgt:
                    
                                         
Der Widerspruch entsteht durch die Aussage von .
Bisher sind der deterministische endliche Automat (DFA) und der nichtdeterministische
endliche Automat (NFA)
betrachtet worden, wobei der DFA
lediglich ein Spezialfall des NFA
war. Diese Automaten haben sich dadurch ausgezeichnet, dass jede Transition
(jeder Zustandswechsel) durch ein Eingabesymbol  ausgelöst wurde.
 ausgelöst wurde.
Bei den im Folgenden betrachteten „Automaten mit e-Bewegungen“ gibt es Transitionen, die durch das Eingabesymbol „e“, d.h. das „leere Wort“ ausgelöst werden.
Das Transitionsdiagramm eines derartigen Automaten kann z.B. wie folgt aussehen:

Abbildung 16 – ein Transitionsdiagramm
Bei dem obigen Automaten führt aus dem Startzustand q0 für das Eingabezeichen a lediglich ein direkter Pfad zu dem Zustand q1. Allerdings führen zahlreiche weitere Pfade für das Eingabesymbol e zu den restlichen Zuständen.
Das Eingabesymbol e unterscheidet sich von allen anderen Eingabesymbolen, und zwar insofern, als dass es der Automat „jederzeit“ einlesen kann – unabhängig von den wirklichen Eingabesymbolen.
Der obige Automat kann also für das Eingabezeichen a in jeden, eingezeichneten Zustand wechseln. Um dieses Verhalten beschreibungstechnisch in den Griff zu kriegen, definiert man den Begriff der e-Hülle (siehe folgender Abschnitt).
Man bezeichnet die Menge aller Konten p, zu denen es einen mit e bezeichneten Weg vom Knoten q gibt, als e-Hülle(q)[5].
Für den Automaten aus Abbildung 16 gilt, dass alle Knoten vom Startzustand aus erreichbar sind, also:
                    
                                                                  
Definitionsgemäß ist jeder Knoten/Zustand in seiner eigenen e-Hülle enthalten. Man kann sich das so vorstellen, als dass von jedem Knoten ein mit e markierter Übergang auf sich selber existiert, den man beim Zeichnen weglässt:
                    
                                                                                                                  
Auf das obige Beispiel angewendet ergibt sich die e-Hülle wie folgt:

Abbildung 17 – die Epsilon-Hülle im Transitionsdiagramm
Die Definition des Automaten mit e-Bewegungen entspricht der des „normalen“ NFA:
                    
                                                                                     
Der einzige Unterschied zum „normalen“ NFA ist die Übergangsfunktion d, die nun wie folgt definiert ist:
                    
                                                                                        
Die Erweiterung der Übergangsfunktion d (die
nur für einzelne Symbole taugt) auf ganze Eingabewörter geschieht mit Hilfe der
Übergangsfunktion  .
.  soll als Ergebnis die
Menge aller Zustände liefern, zu denen es von q aus einen mit w markierten Pfad gibt, welcher e-Kanten beinhalten darf:
 soll als Ergebnis die
Menge aller Zustände liefern, zu denen es von q aus einen mit w markierten Pfad gibt, welcher e-Kanten beinhalten darf:
Anmerkung: Beim Automaten mit e-Bewegungen können die
Ergebnisse von  und
 und  verschieden sein;
zwischen
 verschieden sein;
zwischen  und
 und  muss also
unterschieden werden.
 muss also
unterschieden werden.
Auch die e-Bewegungen erlauben es dem Automaten nicht, mehr als reguläre Mengen zu akzeptieren. Der Automaten mit e-Bewegungen reiht sich damit in die Klasse von NFA und DFA ein.
Wir werden uns darauf beschränken, zu zeigen, dass jeder NFA mit e-Bewegungen durch einen „normalen NFA“ ersetzt werden kann. Der Beweis in der umgekehrten Richtung ist zwar theoretisch ebenfalls nötig, erübrigt sich aber bei näherer Betrachtung[6].
Zu einem gegebenen e-NFA  definieren wir einen „normalen“ NFA
 definieren wir einen „normalen“ NFA  . Wie man an der Definition sehen kann, muss an dem Automaten
nicht viel verändert werden. Die Menge der akzeptierenden Zustände F kann weitestgehend übernommen werden, abgesehen von der Ausnahme, dass die e-Hülle von q0
einen akzeptierenden Zustand enthält:
. Wie man an der Definition sehen kann, muss an dem Automaten
nicht viel verändert werden. Die Menge der akzeptierenden Zustände F kann weitestgehend übernommen werden, abgesehen von der Ausnahme, dass die e-Hülle von q0
einen akzeptierenden Zustand enthält:
Diese Veränderung ist nötig, weil M’ keine e-Transitionen kennt. Tritt nämlich der Fall ein, dass die e-Hülle von q0 einen akzeptierenden Zustand enthält, dann würde M ja beenden, ohne ein einziges Zeichen gelesen zu haben. Für M’ lässt sich dies nur nachbilden, indem der Startzustand (q0) selber akzeptierend ist. Und genau das erreichen wir mit der obigen Fallunterscheidung.
Nun wird noch eine Übergangsfunktion  benötigt. Dazu behalten wir die bereits definierte Funktion
 benötigt. Dazu behalten wir die bereits definierte Funktion  bei:
 bei:
Wie kann das sein? Fangen wir ganz vorne an. Wir möchten zwei äquivalente Automaten erhalten. Wir haben bereits definiert, dass beide Automaten auf der selben Menge von Zuständen operieren. Was ist nun also naheliegender, als auch die Übergangsfunktion komplett zu übernehmen? Genau dies tun wir laut . Der Sicherheit halber werden wir aber im folgenden beweisen, dass es auch richtig ist, was wir da tun... Wir betrachten zunächst einmal den einfachsten Fall, nämlich, dass die Eingabe ein einzelnes Symbol ist: Dann folgt aus , und :
                    
                                            
In klarer Sprache bedeutet das, dass  angewendet auf ein
einzelnes Symbol a (und einen Zustand q) nichts anderes ist, als die
Vereinigung der Ergebnisse von
 angewendet auf ein
einzelnes Symbol a (und einen Zustand q) nichts anderes ist, als die
Vereinigung der Ergebnisse von  für jeden einzelnen Zustand aus der e-Hülle
von q. Die e-Hülle
von q wiederum ist nichts anderes als
eine Menge von Zuständen, zwischen denen der Automat
indifferent ist. Genau dieses Verhalten ist auch die Forderung, die wir an die
Übergangsfunktion
 für jeden einzelnen Zustand aus der e-Hülle
von q. Die e-Hülle
von q wiederum ist nichts anderes als
eine Menge von Zuständen, zwischen denen der Automat
indifferent ist. Genau dieses Verhalten ist auch die Forderung, die wir an die
Übergangsfunktion  des NFA stellen. Wir haben jetzt für den Sonderfall
 des NFA stellen. Wir haben jetzt für den Sonderfall  bewiesen, dass die
Forderung, die wir an die „neue“ Funktion
 bewiesen, dass die
Forderung, die wir an die „neue“ Funktion  stellen, durch die „alte“ Funktion
 stellen, durch die „alte“ Funktion  erfüllt werden.
 erfüllt werden.
Die Korrektheit für den Sonderfall  , d.h.
, d.h.  haben wir bereits bei der Definition der akzeptierenden
Zustände unter  verbal erklärt.
 haben wir bereits bei der Definition der akzeptierenden
Zustände unter  verbal erklärt.
Für  erbringen wir den Beweis induktiv. Da
 erbringen wir den Beweis induktiv. Da  , lässt sich die Eingabe zerlegen in
, lässt sich die Eingabe zerlegen in  . Durch die Induktionsvoraussetzung gilt
. Durch die Induktionsvoraussetzung gilt
Weiterhin gilt:
Aus und folgt:
Aus folgt unter Zuhilfenahme der Induktionsannahme[7]:
Mit dem Wissen von lässt sich wie folgt umschreiben:
Nach der Definition
von  (siehe  gilt:
 (siehe  gilt:
Damit folgt aus , und :
                    
                                     
In den vorangegangen Wochen haben wir verschiedene Typen von endlichen Automaten kennengelernt. Dabei haben wir gezeigt, dass deterministische und nichtdeterministische endliche Automaten (DFA und NFA) sowie nichtdeterministische Automaten mit e‑Übergängen die gleiche Klasse von Sprachen, die regulären Sprachen, beschreiben und beliebig ineinander konvertiert werden können.
Jetzt wollen wir zeigen, dass die Sprachen, die durch reguläre Ausdrücke definiert werden, ebenfalls äquivalent zu diesen endlichen Automaten sind. Diese Sprachen werden auch reguläre Mengen genannt (nach dem Satz von Kleene: „Die Menge der durch reguläre Ausdrücke beschreibbaren Sprachen ist genau die Menge der regulären Sprachen.“)
Folgendes Schaubild verdeutlicht den Zusammenhang und die Abhängigkeit zwischen regulären Ausdrücken und endlichen Automaten, die wir im Anschluß zeigen wollen.

Abbildung 18 - Äquivalenzkreislauf reguläre Ausdrücke - endliche Automaten
Satz:
Sei r ein regulärer Ausdruck, dann existiert ein NFA mit e‑Übergängen, der die zum regulären Ausdruck gehörende Sprache L(r) akzeptiert.
Beweis
Für einfache reguläre Ausdrücke läßt sich die Behauptung
einfach zeigen. Wenn r die leere Menge  , das leere Wort
, das leere Wort  oder ein einzelnes
Zeichen
 oder ein einzelnes
Zeichen  ist, dann liegt ein
einfacher regulärer Ausdruck vor.
 ist, dann liegt ein
einfacher regulärer Ausdruck vor.
Zu zeigen ist, dass ein solcher regulärer Ausdruck in einen endlichen Automaten mit e‑Übergängen überführt werden kann, wir konstruieren also einen solchen Automaten gemäß der Vorgabe des regulären Ausdrucks. Diese drei ein- oder keinelementigen Ausdrücke ohne Operator stellen gewissermaßen den Induktionsanfang der Induktion über die Anzahl der Operatoren des regulären Ausdrucks vor.
Wenn wir zeigen können, dass ein beliebiger regulärer Ausdruck mit beliebig vielen Operatoren n in einen NFA mit e‑Übergängen und einem einzigen Endzustand, aus dem keine Übergänge herausführen, überführt werden kann, dann existiert für jeden regulären Ausdruck ein entsprechender Automat und die Äquivalenz ist bewiesen.
Für die drei elementaren Zustände können folgende Automaten gebaut werden, die einen einzigen Endzustand haben, der erreicht wird, wenn ein Wort der Sprache L(r) erkannt wird und von dem keine Übergänge ausgehen.

Abbildung 19 - NFAs für reguläre Ausdrücke ohne Operatoren
Für einen regulären Ausdruck, der das leere Wort erkennt, geht der Automat direkt in den Endzustand über, da e‑Übergänge erlaubt sind. Der reguläre Ausdruck leere Menge tritt niemals in den Endzustand ein und der reguläre Ausdruck für ein bestimmtes Zeichen geht genau dann in den Endzustand über, wenn dieses Zeichen erkannt wird.
Für den Induktionsschritt von i - 1 auf i Operatoren lassen sich NFAs mit e‑Übergängen für reguläre Ausdrücke mit weniger als i Operatoren bereits konstruieren (i ³ 1). Dabei muß zwischen drei Verknüpfungsarten unterschieden werden
1. Vereinigung:
r = r1 + r2
2. Konkatenation:
r = r1 · r2
3. Kleensche Hülle:
r = r1*
Gegeben sind zwei reguläre Ausdrücke r1 und r2
mit jeweils weniger als i Operatoren, die regulären Sprachen L(r1)
und L(r2) beschreiben. Nach Induktionsannahme gibt es zwei entsprechende
NFAs  und
 und  , die diese Sprachen erkennen. Die beiden Automaten haben
voneinander disjunkte Zustände, die unterschiedlich zu benennen sind, um sie in
einer gemeinsamen Zustandmenge vereinigen zu können. Damit bilden wir einen
neuen Automaten als Vereinigung von M1 und M2.
, die diese Sprachen erkennen. Die beiden Automaten haben
voneinander disjunkte Zustände, die unterschiedlich zu benennen sind, um sie in
einer gemeinsamen Zustandmenge vereinigen zu können. Damit bilden wir einen
neuen Automaten als Vereinigung von M1 und M2. 

Abbildung 20 - Vereinigung von regulären Ausdrücken
Zu den Zuständen der beiden Automaten kommt ein gemeinsamer Startzustand q0 und ein gemeinsamer Endzustand f0, aus dem keine weiteren Übergänge herausführen. Die erzeugte reguläre Sprache L(r) soll entweder Wörter akzeptieren, die in L(r1) oder in L(r2) enthalten. Daher geht der konstruierte Automat beim Start von q0 in einem e‑Übergang entweder in M1 oder in M2. Gemäß Induktionsannahme erkennt er dort ein entsprechendes Wort des jeweiligen Automaten und verläßt den Teilautomaten nicht, bevor er in den Endzustand f1 bzw. f2 eingetreten ist. In einem weiteren e‑Übergang geht der Automat vom Endzustand eines Teilautomaten in den gemeinsamen neuen Endzustand f0.
Die Vereinigung zweier regulärer Ausdrücke, die sich in NFAs überführen lassen, liefert also wieder einen regulären Ausdruck, für den ein NFA existiert. Formal läßt sich der Automat, der L(r) erkennt als M ausdrücken:
                    
                                                          
Die Übergangsfunktion d ist folgendermaßen gestaltet:
                    
                                                                                              
Die Übergänge in den beiden Teilautomaten M1 und M2 entsprechen den Übergangsfunktionen d1 und d2. Dabei werden alle Zustände außer den beiden Endzuständen f1 und f2 betrachtet. Da f1 und f2 Endzustände von M1 und M2 sind, aus denen per Induktionsannahme keine Übergänge herausführen, können sie nicht in der folgenden Definition enthalten sein, sondern gehen gemäß obigem Abschnitt mit einem e‑Übergang zum gemeinsamen Endzustand f0 über.
                    
                                                 
Somit gilt der Induktionsschritt für Vereinigung:
                    
                                                   
Die Konkatenation zweier regulärer Ausdrücke r1 und r2 zu einem neuen regulären Ausdruck r gestaltet sich ähnlich. Seien M1 und M2 NFAs, die L(r1) und L(r2) akzeptieren, dann sei M ein Automat, der die Sprachen beider Automaten konkateniert.

Abbildung 21 - Konkatenation von regulären Ausdrücken
Der Startzustand von M1 ist gleichzeitig Startzustand von M. Der Automat durchläuft in M1 die einzelnen Zustände, bis er ein Wort gemäß r1 erkennt und in f1 übergeht. In einem e‑Übergang geht der Automat von f1 in q2, den Startzustand von M2, über. Hier tritt er über mögliche Zwischenzustände in f2, den Endzustand von M2, der auch gleichzeit Endzustand von M ist.
M akzeptiert also eine reguläre Sprache L(M), die gemäß Abschlußeigenschaften regulärer Sprachen aus der Konkatenation der per Induktionsannahme regulären Sprachen L(M1) und L(M2) entsteht. Für r existiert so ein NFA mit e‑Übergängen. Formal definiert sich M als:
                    
                                                                         
Die Übergangsfunktion d für f1 ist folgendermaßen gestaltet. Da f1 Endzustand von M1, führen keine Übergänge aus f1 heraus, eine Verbindung zwischen M1 und M2 wird daher benötigt.
                    
                                                                                                      
In den beiden Teilautomaten wird d entsprechend mit d1 und d2 definiert. Der Übergang von f1 wurde bereits definiert, f2 verhält sich wie in M2 und ist gleichzeitig Endzustand von M.
                    
                                                  
Somit ist der Induktionsschritt für Konkatenation gezeigt:
                    
                                                    
Bei der Hüllenbildung (auch Stern genannt) über den
regulären Ausdruck r1 kann r1 einmal, keinmal oder
beliebig oft auftreten. Dementsprechend führen wir einen Automaten M ein, der
den zu r1 passenden Automaten  erweitert.
 erweitert. 
Tritt r1 keinmal auf, so geht M vom neuen Startzustand q0 in einem e‑Übergang direkt in den neuen Endzustand f0 über. Andernfalls ist r1 mindestens einmal vorhanden und M geht in den Bereich von M1. Hier kann der reguläre Ausdruck beliebig oft wiederholt werden, da von f1 mit einem e‑Übergang in q1 verzweigt werden kann. Folgen keine weiteren Wiederholungen von r1, geht M in einem weiteren e‑Übergang in den Endzustand f0.

Abbildung 22 - Kleensche Hülle über regulärem Ausdruck
M akzeptiert somit reguläre Sprachen, die L(M) = L(M1)* genügen und kann folgendermaßen definiert werden
                    
                                                                         
Die zugehörige Übergangsfunktion d entspricht im Wesentlichen d1, muß allerdings für die Sterneigenschaften erweitert werden
                    
                                                
Somit ist der Induktionsschritt für die Kleensche Hülle (oder Stern) gezeigt. Es existiert ein NFA M, der beliebig viele Konkatenationen der von r1 akzeptierten Sprache sowie das leere Wort akzeptiert.
                    
                                                                   
Mit den drei Fällen Vereinigung, Konkatenation und Hüllenbildung ist die Induktion über die Anzahl der Operatoren abgeschlossen. Verschachtelte, vollständig geklammerte Ausdrücke können mit Hilfe der Abschlußeigenschaften in diese Grundformen zerlegt werden.
Als Beispiel betrachten wir einen regulären Ausdruck r = 01*+1. Mit vollständiger Klammerung und Aufspaltung in die Operationen Vereinigung, Konkatenation und Stern sowie Substitution mit symbolischen Ausdrücken ri (ihrerseits wieder reguläre Ausdrücke) erhält man
                    
                                                                                         
So zerlegt lassen sich für jeden Ausdruck ri wie im vorangegangenen Abschnitt beschrieben Automaten konstruieren und diese dann zusammensetzen. Dabei beginnt man mit dem am weitesten in der Klammerhierarchie innenliegenden Ausdruck r1 und erweitert den Automaten immer um weitere Zustände für die umgebenden Ausdrücke.
Für r1 ist die Operation Stern anzuwenden, daher konstruiert man einen Automaten mit 4 Zuständen, einem Start- und einem Endzustand q1 und q4, sowie zwei weiteren Zuständen q2 und q3. Vom Startzustand q1 kommt man in einem e‑Übergang zu q2 oder direkt zum Endzustand q4 (leeres Wort). Mit einer 1 kommt man zu q3 und von dort per e‑Übergang zu q2 zurück (Stern) oder zum Endzustand q4.

Die Konkatenation (Und) von r2 und r4 benötigt lediglich zwei weitere Zustände q5 und q6, die vor den Automaten für r4 geschaltet werden. Von q5 geht der Automat nur in q6 über, wenn eine 0 als Zeichen anliegt. Von q6 gelangt der Automat in einem e‑Übergang in q0, den Anfangszustand des oben beschriebenen Automaten. Dadurch ergibt sich folgender Automat

Abbildung 24 - Automat für 01*
Der noch verbleibende Ausdruck r3 muß mit r5 = r2·r1* in Vereinigung (Oder) aufgehen. Dazu benötigt man einen neuen Startzustand q7 und einen neuen Endzustand q8. Für die Konstruktion eines Automaten, der r3 erkennt, benötigt man weitere zwei Zustände q9 und q10. Vom neuen Startzustand q7 gehen e‑Übergänge zu den Startzuständen der beiden alternativen Automaten q5 und q9. Genauso gehen von den Endzuständen der Teilautomaten q4 und q10 e‑Übergänge zum neuen Endzustand q9. Weiter tritt der Automat von q9 bei Zeichen 1 in den Zustand q10.

Abbildung 25 - Gesamter Automat
Für den regulären Ausdruck 01*+1 exisiert wie gezeigt ein endlicher, deterministischer Automat mit e‑Übergängen, der folgende Definition hat. Für die zehn Zustände gibt es einen Startzustand q7 und einen Endzustand q8. Die Übergangsfunktion entspricht dem oben aufgeführten Graphen für den gesamten Automaten.
                    
                                                                       
Auf diese Weise lassen sich für alle regulären Ausdrücke DFAs und NFAs konstruieren, die die gleiche Sprache wieder reguläre Ausdruck erkennen.
Gemäß der Darstellung des Schaubildes zu Beginn des Protokolls, haben wir gezeigt, das sich reguläre Ausdrücke in nichtdeterministische Automaten mit e‑Übergängen umwandeln lassen. Aus vorangegangenen Protokollen ist bekannt, dass DFAs, NFAs und NFAs mit e‑Übergängen äquivalent sind. Jetzt ist der Weg zurück zu den regulären Ausdrücken zu zeigen, der letzte Pfeil im Schaubild von DFAs zu regulären Ausdrücken.
Satz:
Wenn eine Sprache L von einem DFA akzeptiert wird, dann läßt sich diese Sprache L durch einen regulären Ausdruck r beschreiben.
Beweis
Es ist zu zeigen, dass der zu bestimmende reguläre
Ausdruck r die gleiche Sprache beschreibt wie der gegebene Automat M, also  gilt. Sei M ein endlich deterministischer Automat, dessen
Zustände von 1 bis n durchnummeriert sind und q1 der Startzustand
ist.
gilt. Sei M ein endlich deterministischer Automat, dessen
Zustände von 1 bis n durchnummeriert sind und q1 der Startzustand
ist.
                    
                                                                                             
 seien Sprachen mit
 seien Sprachen mit  und
und  , die wir durch reguläre Ausdrücke beschreiben wollen.
, die wir durch reguläre Ausdrücke beschreiben wollen.  enthält alle Wörter
x, die den Automaten von Zustand qi über verschiedene
Zwischenzustände nach qj überführen. Dabei seien ql die
besuchten Zustände[8] und es gelte
l £ k
für alle Wörter x.
 enthält alle Wörter
x, die den Automaten von Zustand qi über verschiedene
Zwischenzustände nach qj überführen. Dabei seien ql die
besuchten Zustände[8] und es gelte
l £ k
für alle Wörter x.
                    
                     
Diese Sprachen R können rekursiv definiert und per
Induktion über k bewiesen werden. Für k = 0 als Induktionsannahme
geht der Automat direkt von Zustand qi nach qj ohne dabei
Zwischenzustände zu besuchen, da kein Zustand qp mit p £ 0
existiert. Für den Fall  enthält die Sprache
 enthält die Sprache  alle Zeichen, für die
der Automat beginnend in qi direkt in qj übergeht.
 alle Zeichen, für die
der Automat beginnend in qi direkt in qj übergeht.
                    
                                                                                   
Für den Fall, dass  gegeben ist, erkennt
der Automat alle Zeichen ohne über Zwischenzustände zu gehen, bei denen er von
qi in qi geht, also im gleichen Zustand verbleibt. Im
„Zustand Verbleiben“ heißt aber auch, dass der Automat keinen Zustandswechsel
macht und so dass leere Wort zur Sprache gehört
 gegeben ist, erkennt
der Automat alle Zeichen ohne über Zwischenzustände zu gehen, bei denen er von
qi in qi geht, also im gleichen Zustand verbleibt. Im
„Zustand Verbleiben“ heißt aber auch, dass der Automat keinen Zustandswechsel
macht und so dass leere Wort zur Sprache gehört
                    
                                                                           
Für diese Fälle ist  eine endliche Menge von Zeichen und ein regulärer Ausdruck läßt sich aufstellen. Die Induktionsannahme
ist damit bewiesen. Ein entsprechender regulärer Ausdruck besteht aus der Veroderung
der auftretenden Zeichen sowie dem leeren Wort, falls
 eine endliche Menge von Zeichen und ein regulärer Ausdruck läßt sich aufstellen. Die Induktionsannahme
ist damit bewiesen. Ein entsprechender regulärer Ausdruck besteht aus der Veroderung
der auftretenden Zeichen sowie dem leeren Wort, falls 
                    
                                                                          
Für den Induktionsschritt von k auf k+1 verwenden
wir die Rekursionsgleichung und setzen  als gegeben voraus.
 als gegeben voraus.
                    
                                                                        
Wörter x, bei denen der Automat von qi nach qj
übergeht, müssen den Zustand qk+1 nicht passieren. Dann wird dieser
Zustand nicht benötigt und die Sprache  läßt sich durch das
bereits bewiesene
 läßt sich durch das
bereits bewiesene  ausdrücken. Wird der
Zustand benötigt, geht der Automat von qi in qk+1 über
und kann innerhalb von
 ausdrücken. Wird der
Zustand benötigt, geht der Automat von qi in qk+1 über
und kann innerhalb von  qk+1
beliebig oft aufgerufen werden (Stern, Kleensche Hülle). Anschließend tritt er
in qj ein und erkennt somit Wörter, bei denen der Automat durch qk+1
als Zwischenzustand geht.
 qk+1
beliebig oft aufgerufen werden (Stern, Kleensche Hülle). Anschließend tritt er
in qj ein und erkennt somit Wörter, bei denen der Automat durch qk+1
als Zwischenzustand geht.
Ein entsprechender regulärer Ausdruck  für die Sprache
 für die Sprache  läßt sich aufstellen,
da die Rekursionsgleichung nur die Operationen für reguläre Ausdrücke
Vereinigung, Konkatenation und Hüllenbildung enthält. Nach Induktionsannahme
beschreiben die regulären Ausdrücke für k bereits reguläre Sprachen. Die
Anwendung der
Operationen auf regulären Ausdrücke ergibt wieder reguläre Ausdrücke genauso
wie die Anwendung der Operationen auf reguläre Sprachen wieder eine reguläre
Sprache ergibt (siehe Abschlußeigenschaften). Damit läßt sich der folgende
reguläre Ausdruck aufstellen
 läßt sich aufstellen,
da die Rekursionsgleichung nur die Operationen für reguläre Ausdrücke
Vereinigung, Konkatenation und Hüllenbildung enthält. Nach Induktionsannahme
beschreiben die regulären Ausdrücke für k bereits reguläre Sprachen. Die
Anwendung der
Operationen auf regulären Ausdrücke ergibt wieder reguläre Ausdrücke genauso
wie die Anwendung der Operationen auf reguläre Sprachen wieder eine reguläre
Sprache ergibt (siehe Abschlußeigenschaften). Damit läßt sich der folgende
reguläre Ausdruck aufstellen
                    
                                                                           
Der Induktionsschritt ist damit bewiesen und es lassen sich beliebige reguläre Ausdrücke aufstellen, die Teilmengen von L(M) beschreiben. Für dem Automaten M betrachten wir jetzt alle Wörter, die den Automaten vom Startzustand q1 in einen Endzustand qi überführen und dabei alle n Zustände des Automaten (siehe Definition am Anfang des Beweises) besuchen. Die Menge dieser Wörter ist die Sprache, die der Automat erkennt.
                    
                                                                                                   
Damit läßt sich analog zum vorangeganen Abschnitt ein regulärer Ausdruck konstruieren und so der Beweis abschließen. Für die möglichen Endzustände
                    
                                                                                             
verwenden wir die Indizes i1,i2,...,ip. Der reguläre Ausdruck ist so die Veroderung regulärer Ausdrücke, die die Wörter beschreiben, bei denen der Automat in jeweils einem gemeinsamen Endzustand hält.
                    
                                                                                         
Somit wurde wurde gezeigt, dass man zu einer von einem DFA M akzeptierten Sprache L(M) einen regulären Ausdruck r angeben kann, der die gleiche reguläre Sprache L(r) = L(M) beschreibt.
Reguläre Ausdrücke, endliche deterministische, endliche nichtdeterministische sowie endliche nichtdeterministische Automaten mit e-Übergängen sind somit wie im heutigen und den vorangegangen Protokollen gezeigt, äquivalent und beschreiben die Menge der regulären Sprachen.
Für die folgenden Sprachen
soll überprüft werden, ob sie zur Klasse  der regulären
Sprachen gehören.
 der regulären
Sprachen gehören.
Beispiel 1
Wir wissen, dass die Sprache  nicht regulär ist,
folgt daraus, dass die Sprache
 nicht regulär ist,
folgt daraus, dass die Sprache  auch nicht regulär
ist? Der argumentative Beweis nach Myhill-Nerode sieht wie folgt aus:
 auch nicht regulär
ist? Der argumentative Beweis nach Myhill-Nerode sieht wie folgt aus:
                    
                                        
Es ist nun zu zeigen, dass der  unendlich ist. Dies
ist aber leicht zu sehen, wenn man die Wörter der Sprache, als Zusammensetzung
aus
 unendlich ist. Dies
ist aber leicht zu sehen, wenn man die Wörter der Sprache, als Zusammensetzung
aus  und
 und  für alle
 für alle  sieht. Es ist Fakt,
dass es unendlich viele Wörter
 sieht. Es ist Fakt,
dass es unendlich viele Wörter  gibt. Somit ist der
Index unendlich und damit
 gibt. Somit ist der
Index unendlich und damit  .
.
Beispiel 2
Nun ist die Frage, ob auch die Rückrichtung gilt. In anderen Worten gilt:
                    
                                        
Nehmen wir an  sei regulär. Sei weiterhin
sei regulär. Sei weiterhin  ein Homomorphismus,
welcher die folgenden Abbildungen durchführt:
 ein Homomorphismus,
welcher die folgenden Abbildungen durchführt: 
                    
                                                                                                              
Bildet man nun die Sprache:
                    
                                                                                                        
und vereinigt diese mit
beliebigen Folgen der Form  so ergibt sich die Sprache:
so ergibt sich die Sprache: 
                    
                                                                                                     
Diese wäre aufgrund der Abgeschlossenheit der Regulären Sprachen immer noch regulär. Jedoch kann man diese Sprache auch umformulieren zu:
                    
                                                                                                
Jedoch wissen wir, von unserer Annahme,  sei regulär, dass diese falsch ist. Somit kann auch die
Sprache
sei regulär, dass diese falsch ist. Somit kann auch die
Sprache  nicht regulär sein.
 nicht regulär sein. 
Beispiel 3:
Man kann weiterhin zeigen, dass gilt:
                    
                                
Angenommen die Sprache  wäre regulär, dann
wäre auch die Sprache
 wäre regulär, dann
wäre auch die Sprache
                    
                                                                                          
regulär. Nun kann man einen
Homomorphismus  verwenden mit den Abbildungen:
verwenden mit den Abbildungen: 
                    
                                                                                                              
Sei nun  die Sprache, welche
erzeugt wird, indem man den Homomorphismus auf die Sprache
 die Sprache, welche
erzeugt wird, indem man den Homomorphismus auf die Sprache  anwendet:
 anwendet:
                    
                                                                                  
Diese müsste auch regulär sein, da wir jeweils nur
strukturerhaltende Operationen verwendet haben. Wir wissen jedoch, dass die
Sprache bestehend aus Wörtern der Form  nicht regulär somit ergibt sich ein Widerspruch.
nicht regulär somit ergibt sich ein Widerspruch. 
Beispiel 4:
Gilt:
                    ?
?           
Angenommen, dass  regulär ist, dann ist
auch die Sprache:
 regulär ist, dann ist
auch die Sprache:
                    
                                                                                               
regulär. Wieder definieren wir einen Homomorphismus mit den Abbildungen:
                    
                                                                                                          
Sei nun  die Sprache, welche
erzeugt wird, indem man den inversen Homomorphismus auf die Sprache
 die Sprache, welche
erzeugt wird, indem man den inversen Homomorphismus auf die Sprache  anwendet:
 anwendet:
                    
                                                                                              
Diese müsste auch regulär sein, da wir jeweils wieder nur
strukturerhaltende Operationen verwendet haben. Wir wissen jedoch, dass die
Sprache bestehend aus Wörtern der Form  nicht regulär somit ergibt sich ein Widerspruch.
nicht regulär somit ergibt sich ein Widerspruch. 
Beispiel 5:
Zum Schluss gilt noch zu überprüfen, ob:
                    
                                     
Wieder nehmen wir zunächst an,
dass die Sprache  regulär sei. Dann ist
auch die Sprache:
 regulär sei. Dann ist
auch die Sprache:
                    
                                                                        
regulär. Durch Konkatenation bilden wir:
                    
                                                                           
Dann sind  . Doch wiederum gilt, da die Sprache
. Doch wiederum gilt, da die Sprache  nicht regulär ist,
dass auch
 nicht regulär ist,
dass auch  nicht regulär ist.
 nicht regulär ist.
In diesem Abschnitt beschäftigen wir uns hauptsächlich mit dem folgenden Automaten:

Abbildung 26: der endliche Automat des Beispiels
| 
 | k=0 | k=1 | k=2 | 
| 
 | 
 | 
 | 
 | 
| 
 | 
 | 
 | 
 | 
| 
 | 
 | 
 | 
 | 
| 
 | 
 | 
 | 
 | 
| 
 | 
 | 
 | 
 | 
| 
 | 
 | 
 | 
 | 
| 
 | 
 | 
 | 
 | 
| 
 | 
 | 
 | 
 | 
| 
 | 
 | 
 | 
 | 
Sei  der abgebildete
endliche Automat. Die Wert
 der abgebildete
endliche Automat. Die Wert  sind in Tabelle 1 abgebildet. Dabei wurden die regulären Ausdrücke vereinfacht,
und zwar in der Form:
 sind in Tabelle 1 abgebildet. Dabei wurden die regulären Ausdrücke vereinfacht,
und zwar in der Form:  oder
 oder  . Zum Beispiel ergibt sich für
. Zum Beispiel ergibt sich für  :
:
                    
                                                                  
Ebenso ist:
                    
                                                         
Bedenkt man, dass  und weiterhin gilt
 und weiterhin gilt  , dann ist:
, dann ist:
                    
                                                                                      
Da weiterhin der Ausdruck  äquivalent zu
 äquivalent zu  ist, ergibt sich für
 ist, ergibt sich für  zunächst
 zunächst  und schließlich
 und schließlich  . Die Regulären Ausdrucke für
. Die Regulären Ausdrucke für  ergeben sich aus den
akzeptierenden Zuständen. Also ist
 ergeben sich aus den
akzeptierenden Zuständen. Also ist  zu bestimmen. Mit:
 zu bestimmen. Mit:
                    
                                                 
und
                    
                                                  
ergibt sich dann:
                    
                                             
Dies stellt den Regulären Ausdruck für den Beispielautomaten dar.
Dieser Abschnitt dient nur zur Information, da diese
Automaten kein Thema dieser Vorlesung sein sollen. Deterministische endliche
Zweiwegautomaten sind definiert als Quintupel  unterschiedlich zum
„normalen“ DFA ist hier zum einem dass die Übergangsfunktion neben einem
Zustand noch eine Laufrichtung zurückgibt, in welcher der nächste Zustand
besucht werden soll.
 unterschiedlich zum
„normalen“ DFA ist hier zum einem dass die Übergangsfunktion neben einem
Zustand noch eine Laufrichtung zurückgibt, in welcher der nächste Zustand
besucht werden soll.  ist also auf
 ist also auf  definiert. Es kann
jedoch gezeigt werden, das ein und zwei-Wege endliche Automaten gleichwertig
sind.
 definiert. Es kann
jedoch gezeigt werden, das ein und zwei-Wege endliche Automaten gleichwertig
sind. 
Als Beispiel für eine Grammatik diene hier die Menge der booleschen Ausdrücke[9]. Das Startsymbol ist ein Nicht-Terminalsymbol, das wir „BOOL“ nennen. Als Terminalsymbole lassen wir alle Zeichen zu, die man gemeinhin für boolesche Ausdrücke verwendet. Die Produktionsregeln sind zu entnehmen, und sollten jeden booleschen Ausdruck produzieren können:
Der Ableitungsbaum eines beispielhaften booleschen Ausdruckes gemäß obiger Grammatik könnte wie folgt aussehen:
                    
                           
Wie man sieht, beginnt die Transformation bei einem gewöhnlichen booleschen Ausdruck, und endet bei dem Startsymbol S[10].
Satz:
Sei  eine Sprache, dann gilt:
 eine Sprache, dann gilt:
                    
                                   
Beweis:
1 Þ 2:
Gegeben sei der endliche Automat
                    
                                                                                              
Wir definieren eine neue Grammatik, die dem endlichen Automaten M entsprechen soll. Diese neue Grammatik benutzt das Alphabet des Automaten als Terminalalphabet, und die Zustandsmenge des Automaten als Nicht-Terminalalphabet:
                    
                                                                                           
Es bleibt die Frage nach der Produktionsmenge P.
Wir zeigen nun, dass die durch G’ definierte Menge tatsächlich die Menge ist, die von M akzeptiert wird. Für jedes Wort, das der Automat M akzeptiert, gilt:
Aus folgt:
Aus und folgt:
                    
             
Die Mengen sind also identisch:
                    
                                                                                                   
„Ü“:
Gegeben sei die reguläre Grammatik
                    
                                                                                                   
Wir definieren einen nichtdeterministischen, endlichen Automaten M’, welcher der regulären Grammatik entsprechen soll. Dieser neue Automat benutzt die Nicht-Terminalsymbole der Grammatik als Zustandsmenge, und die Terminalsymbole der Grammatik als Eingabealphabet. Wir definieren weiterhin den ausgezeichneten (akzeptierenden) Zustand f:
                    
                                                                          
Die Menge der akzeptierenden Zustände F seien alle jenen Zustände (bzw. Nicht-Terminalsymbole), welche in das leere Wort übergehen können, sowie der ausgezeichnete Zustand f[11]:
Die Übergangsfunktion ist beim endlichen Automaten definiert auf dem Kreuzprodukt von Zustandsmenge und Eingabesymbol, d.h. in unserem Fall, auf dem Kreuzprodukt der Nicht-Terminalsymbole (plus „f“) und der Terminalsymbole. Die Übergangsfunktion liefert beim endlichen Automaten eine Teilmenge der Zustandsmenge zurück, d.h. in unserem Fall eine Teilmenge der Nicht-Terminalsymbole.
Für jeden Zustand, der
einem Nicht-Terminalsymbol entspricht, welches direkt in ein Terminalsymbol
übergehen kann ( ), soll der neue Automat (unter anderem) in den
ausgezeichnete Zustand f übergehen:
), soll der neue Automat (unter anderem) in den
ausgezeichnete Zustand f übergehen:
Wir zeigen nun, äquivalent zum ersten Teil des Beweises, dass die von M’ akzeptierte Menge tatsächlich die Menge ist, die durch G definiert wird[12]. Für jedes Wort, das unser neuer Automat M’ akzeptiert, gilt:
                    
                                                                                                
Falls  einen Zustand Q’ beinhaltet, der akzeptierend ist, so
gilt gemäß :
 einen Zustand Q’ beinhaltet, der akzeptierend ist, so
gilt gemäß :
Bis hierher haben wir Umformungen vorgenommen, die eine Aussage darüber machen, wann ein Wort vom neuen Automaten akzeptiert wird, und wann nicht; in Abhängigkeit von dem Wort. Wie man an sieht, gibt es genau zwei Möglichkeiten, warum ein Wort von dem neuen Automaten akzeptiert werden kann – von diesen zwei Möglichkeiten muss mindestens eine Möglichkeit eintreten.
Die Definition des neuen Automaten und seiner Übergangsfunktion beruht auf einzelnen Symbolen, nicht auf Wörtern. Daher zerpflücken wir an dieser Stelle die Bearbeitung eines Wortes in die Bearbeitung vieler Symbole:
                    
                                                                     
Mit diesem Wissen lässt sich umschreiben zu:
                    
                                       
Auch bis hierher haben wir „nichts anderes“, als eine Gleichung, die beschreibt, wann ein Eingabewort von unserem neuen Automaten akzeptiert wird, und wann nicht – jetzt aber nur noch in Abhängigkeit von dem letzten Symbol des Eingabewortes, sowie dem Zustand des Automaten zu diesem Zeitpunkt.
Wir haben den ausgezeichneten Zustand f genau so definiert, dass ein Übergang f ergibt, falls der ursprüngliche Zustand gemäß Grammatik in das Eingabesymbol übergehen kann (siehe ):
Mit diesem Wissen folgt:
Die obige, boolesche
„Kürzung“ durften wir vornehmen, da diese Bedingung gemäß der Definition der
Übergangsfunktion immer erfüllt ist. Es gilt nun, irgendwie den „Weg zurück“ zu
finden vom Zustand  zum Zustand S. Aus  folgt:
 zum Zustand S. Aus  folgt:
                    
                                                                                
Oho. Wir wissen nun also, dass – falls ein Wort von unserem neuen Automaten akzeptiert wird, das zugehörige Nicht-Terminalsymbol Bestandteil der durch die Grammatik definierten Sprache ist. Weiterhin wissen wir aus , dass der „letzte Zustand“ des Automaten in ein Terminalsymbol übergeht. Daraus folgt:
                    
                                 
Die Mengen sind also identisch:
                    
                                                                                                   
Satz:
Die Sprache  ist nicht regulär!
 ist nicht regulär!
Beweis:
Wir führen einen Widerspruchsbeweis durch, und behaupten, L ist regulär. Dann existiert auch ein endlicher Automat M, welcher L akzeptiert:
Wir gehen davon aus, dass dieser Automat existiert und funktioniert. Wir betrachten diesen Automaten nach der „Hälfte“ der Ausführungszeit, d.h. zu dem Zeitpunkt, an dem er die a’s abgearbeitet hat, und die b’s noch nicht. Wir wählen ein Eingabewort, dass genau so viele a’s enthält, wie der Automat Zustände besitzt. Nach der Verarbeitung aller a’s befindet sich der Automat in einem Zustand, den wir q nennen:
                    
                                                                              
Der Automat ist in dem Startzustand q0 gestartet, hat n Eingabezeichen verarbeitet, und hat demzufolge n mal seinen Zustand gewechselt. Außer dem Startzustand q0 existieren noch (n-1) weitere Zustände. Daraus folgt, dass der Automat mindestens einen Zustand mehr als einmal angenommen hat:
                          
                                                                                                    
Für den Automaten ist es logischerweise „egal“, ob er die Schleife ausführt, oder nicht. Daraus folgt, dass der Automat zwischen den beiden Eingabewörtern ai und ai+j indifferent ist:
                    
                                     
Das bedeutet ganz allgemein, dass man die Schleife auch weglassen kann, d.h. die aj’s aus dem Eingabewort weglassen kann, ohne dass sich am Verhalten des Automaten irgendetwas ändert:
                    
                                                         
Wir haben durch definiert, dass Eingabewörter der Form anbn von dem Automaten akzeptiert werden, d.h. den Automaten vom Startzustand aus in einen akzeptierenden Zustand versetzen. Das gleiche Verhalten gilt demnach für Eingabewörter der Form ai+kbi+j+k, mit j>0:
                    
                                                                 
Unser Automat akzeptiert demzufolge auch Eingabewörter der Form ai+kbi+j+k, welche aber nicht Bestandteil der gegebenen Sprache L sind. Die Sprache L ist nicht regulär!
Satz:
„Wenn man einen Automaten hat, und ein akzeptiertes Wort kennt, dessen Länge größer ist als die Anzahl der Zustände des Automaten, dann ist die durch den Automaten akzeptierte Sprache unendlich.“
Wir haben im vorangegangenen Beispiel gesehen, dass es einen Zusammenhang gibt, zwischen der Anzahl von Zuständen eines Automaten, der Länge eines Wortes der erzeugten Sprache, und der Anzahl der Zustandsschleifen während der Verarbeitung dieses Wortes.
Das Pumping-Lemma generalisiert diese Erkenntnis: Nach dem Pumping-Lemma gibt es für jede Sprache L eine bestimmte Wortlänge n, ab welcher Wörter, die in der Sprache enthalten sind, zwangsweise solche „Schleifen“ enthalten:
                    
                                      
Beweis:
Der Beweis verläuft ähnlich wie im vorangegangenen Beispiel. Wenn L regulär ist, existiert auch ein endlicher Automat M, welcher L akzeptiert:
                    
                                                                    
Wir dürfen davon ausgehen, dass dieser Automat existiert, und dass er eine endlich Zustandsmenge besitzt:
                    
                                                                                                               
Angenommen, es existiert ein Eingabewort, welches von dem Automaten akzeptiert wird, und welches genauso viele Buchstaben besitzt, wie der Automat Zustände hat. Dann startet der Automat in dem Startzustand q0, verarbeitet n Eingabezeichen, und wechselt demzufolge n mal seinen Zustand. Außer dem Startzustand q0 existieren noch (n-1) weitere Zustände. Daraus folgt, dass der Automat mindestens einen Zustand mehr als einmal annimmt:
                          
                                
Für den Automaten ist es logischerweise „egal“, ob, und wie oft er die Schleife ausführt. Daraus folgt, dass der Automat zwischen den Eingabewörtern der Form wviw für i>0 indifferent ist:
                    
                                                                 
Daraus folgt:
                    
                                                                                                            
Der Begriff des „Prädikates“ ist der Prädikatenlogik als Teilgebiet der mathematischen Logik entnommen. Ein Prädikat ist eine Aussage, die entweder wahr oder falsch ist. Ein Prädikat wird zumeist als mathematische Funktion definiert.
Sei S eine Menge, und  ein Prädikat mit
 ein Prädikat mit
                    
                                                           
Es gilt:
                    
                          
Entscheidbar sind z.B. folgende Fragen:
1. T(M)=Æ ?
2. T(M) endlich?
3. T(M) unendlich?
Die Beweise dafür erbringen wir im Folgenden.
Behauptung:
Die Frage, ob T(M)=Æ, ist entscheidbar.
Beweis:
Sei  ,
,  . Es gilt:
. Es gilt:
Wieso?
„Hinrichtung“:
Diese Richtung ist trivial. Wenn der Automat überhaupt kein einziges Wort akzeptiert, dann erst recht keines, das eine bestimmte Länge hat.
Rückrichtung:
Hierfür bemühen wir einen Widerspruchsbeweis. Wir nehmen an, dass der Automat alle Wörter der beschriebenen Länge nicht akzeptiert, aber es trotzdem Wörter gibt, die der Automat existiert:
Annahme:
Wir betrachten nun das kürzeste dieser akzeptierten Wörter, und nennen es x:
                    
                                                                          
Gemäß Annahme gilt für die Länge dieses Wortes:
                    
                                                                                                                
Nach dem Pumping-Lemma gilt, dass dieses Wort in dem endlichen Automaten „Schleifen“ verursachen muss:
                    
                                                 
Das bedeutet, dass es automatisch auch ein Wort geben müsste, welches ebenfalls akzeptiert wird, aber gegen die Annahme verstößt. Also gilt , und damit gilt:
                    
                                                                                 
Behauptung:
Die Frage, ob T(M) unendlich ist, ist entscheidbar.
Beweis:
Sei  ein DFA,
 ein DFA,  . Es gilt:
. Es gilt:
Wieso?
Rückrichtung:
Wenn ein Wort von dem Automaten akzeptiert wird, und genauso viele oder mehr Buchstaben besitzt, wie der Automat Zustände, dann ist gemäß dem Pumping-Lemma eine Schleife in dem Automatenablauf, die „aufgeblasen werden kann“:
                    
                                                         
„Hinrichtung“:
Wir gehen von der Menge aller Wörter aus, die von dem Automaten akzeptiert werden, und länger sind als 2n-1. Falls diese Menge leer ist, bedeutet das, dass die erzeugte Sprache ohnehin nicht unendlich sein kann. Wir gehen davon aus, dass diese Menge nicht leer ist. Aus dieser Menge greifen wir uns dann eines der kürzesten Wörter heraus, und nennen es y:
                    
                                                                          
                    
                                                                                   
Da dieses Wort immer noch mehr Buchstaben besitzt, als der Automat Zustände, schlägt das Pumping-Lemma zu, und wir können eine „Schleife“ aus diesem Wort entfernen:
                    
                                                      
Damit haben wir schon die halbe Miete. Wir wissen nun, dass es automatisch ein akzeptiertes Wort geben muss, welches eine Länge kleiner oder gleich 2n-1 besitzt. Nun gilt es noch zu zeigen, dass dieses Wort auch eine Länge von größer oder gleich n besitzt:
                    
                                                               
Damit ist der Beweis vollbracht. Es gilt also:
                    
                                                                        
Also gilt , und daraus folgt:
                    
                                                                   
Behauptung:
Die Frage, ob T(M) endlich ist, ist entscheidbar.
Beweis:
                    
                                                          
Somit gilt:
                    
                                                                      
Behauptung:
Die Frage, ob für zwei beliebige, endliche Automaten M1 und M2  gilt, ist
entscheidbar.
 gilt, ist
entscheidbar.
Beweis:
Es ist bekannt, dass die Schnittmenge zweier regulärer Automaten (bzw. Mengen) wieder regulär ist:
                    
                                                                        
Wir haben bereits bewiesen, dass es für einen einzelnen Automaten entscheidbar ist, ob er eine leere Sprache akzeptiert, oder nicht:
                    
                                                                                 
Behauptung:
Die Frage, ob für zwei beliebige, endliche Automaten M1 und M2  gilt, ist
entscheidbar.
 gilt, ist
entscheidbar.
Beweis:
Wir führen den Beweis über eine weitere Behauptung, die wir zuerst beweisen:
Behauptung a:
Beweis a:
„Hinrichtung“:
                    
                                                                         
Rückrichtung:
Beweis über Contraposition (Ø Þ Ø):
                    
                                                                           
Also gilt die Behauptung a! Weiter im Beweis...
Wir konstruieren uns gedanklich einen dritten Automaten:
                    
                                                                                                 
Unter Zuhilfenahme von folgt daraus:
                    
                                                    
Wir haben aber bereits in „13.5.6 Beispiel: Entscheidbarkeit der Schnittmenge“ gezeigt, dass die Frage, ob die Schnittmenge der durch zwei endliche Automaten definierten Sprachen nicht leer ist, entscheidbar ist. Damit ist der Beweis erbracht:
                    
                                                                        
Behauptung:
Die Frage, ob für zwei beliebige, endliche Automaten M1 und M2  gilt, ist entscheidbar.
 gilt, ist entscheidbar.
Beweis a:
Wir können den Beweis nun auf bereits Bewiesenes zurückführen:
                    
                                                              
Den Beweis, dass dieser Zusammenhang entscheidbar ist, haben wir in „13.5.7 Beispiel: Entscheidbarkeit der Teilmenge“ erbracht. Daraus folgt:
                    
                                                                        
Beweis b:
Wir konstruieren uns zwei minimale Automaten, die äquivalent zu den beiden gegebenen Automaten sind. Dann gilt:
                    
                                      
Vorausgesetzt, dass die beiden Automaten wirklich die selbe Sprache definieren, müssen die dazugehörigen Nerode-Automaten isomorph sein, d.h.:
                    
                                                                    
Es ist nun möglich, alle
denkbaren Abbildungen von  nach
 nach  auszuprobieren, und festzustellen, ob eine davon ein
Isomorphismus ist. Es kann kein Isomorphismus dabei sein, wenn die Automaten
nicht identisch sind... Auch hieraus folgt:
 auszuprobieren, und festzustellen, ob eine davon ein
Isomorphismus ist. Es kann kein Isomorphismus dabei sein, wenn die Automaten
nicht identisch sind... Auch hieraus folgt:
                    
                                                                        
Definition:
                    
                                             
Im Gegensatz zur normalen Grammatik stehen hier auf „der linken Seite“ der Produktionen also lediglich Nicht-Terminalsymbole, und auch immer nur eines davon. Bei der normalen Grammatik standen hier auch Terminalsymbole, und dazu noch beliebig viele (konkateniert).
Gegeben sei die Grammatik:
                    
                                                                          
Behauptung:
                    
                                                                                   
„R“ bedeutet in diesem Zusammenhang das „umgedrehte Wort“. Die Grammatik beschreibt also Palyndrome.
Beweis:
Wir führen den Beweis mittels vollständiger Induktion über die Länge der Produktionen durch.
Induktionsbehauptung:
                    
           
Induktionsverankerung (n=1):
„Hinrichtung“:
                    
                                                                 
Rückrichtung:
Fallunterscheidung, Fall 1:
                    
                                                                           
Fallunterscheidung, Fall 2:
                    
                                                                                    
Induktionsschritt (n®n+1):
„Hinrichtung“:
                    
                                         
Die „Kürzung“ in dem obigen Ausdruck ist erlaubt, bzw. muss sogar sein, weil in diesem Fall kein Nicht-Terminalsymbol (d.h. S) mehr in dem Wort enthalten wäre. Es gäbe keine Produktion, die es erlauben würde, das Wort noch weiter zu verändern.
                    
                                          
Rückrichtung:
Fallunterscheidung, Fall 1:
                    
                            
Fallunterscheidung, Fall 2:
                    
                                                                           
Durch Ableitungen auf einer kontextfreien Grammatik formt man Nichtterminalsymbole in einem oder mehreren Ableitungsschritten auf Konkatenationen von Terminal- und Nichtterminalsymbolen um. Diesen Vorgang wollen wir näher betrachten.
Sei  eine Grammtik, dann
wir eine Sprache L(G), die von dieser Grammatik generiert wird. Hier und im
Folgenden sei V die Menge der Nichtterminalsymbole und S die
Menge der Terminalsymbole. Die Produktionen P dieser Grammatik wandeln (auch
resubstitiuieren, ersetzen) Nichtterminalsymbole A in Folgen von Nichtterminal-
und Terminalsymbolen
 eine Grammtik, dann
wir eine Sprache L(G), die von dieser Grammatik generiert wird. Hier und im
Folgenden sei V die Menge der Nichtterminalsymbole und S die
Menge der Terminalsymbole. Die Produktionen P dieser Grammatik wandeln (auch
resubstitiuieren, ersetzen) Nichtterminalsymbole A in Folgen von Nichtterminal-
und Terminalsymbolen  um.
 um.
                    
                                                                      
Eine Produktion aus P:  angewandt auf
 angewandt auf  mit
 mit  liefert
 liefert
                    
                                                                                                        
Damit ist  eine Relation auf der
Menge der vereingten Terminal- und
Nichtterminalsymbole
 eine Relation auf der
Menge der vereingten Terminal- und
Nichtterminalsymbole  und bezeichnet die
Anwendung einer
einzelnen Produktion. Die Anzahl der angewandten Produktionen, d. h. die Ableitungsschritte,
kann über den Doppelpfeil geschrieben werden. Erfolgt die Ableitung der linken
auf die rechte Seite in n Schritten, schreibt man entsprechend ein n über den
Doppelpfeil.
 und bezeichnet die
Anwendung einer
einzelnen Produktion. Die Anzahl der angewandten Produktionen, d. h. die Ableitungsschritte,
kann über den Doppelpfeil geschrieben werden. Erfolgt die Ableitung der linken
auf die rechte Seite in n Schritten, schreibt man entsprechend ein n über den
Doppelpfeil. 
Bildet man den transitiven Abschluß (transitive Hülle) der Relation, so bedeutet das die Ableitung über alle möglichen Schritte bis keine weiteren Ableitungen mehr möglich sind.
                    
                                                                                             
Reflexivität gilt, da dies dem Anwenden keiner Produktion auf ein Nichtterminalsymbol entspricht. Es gilt somit immer
                    
                                                                                                                 
Mit dieser Relation als Hilfsmittel zur Beschreibung von Ableitungen läßt sich die von der Grammatik G generierte Sprache L(G) beschreiben
                    
                                                                                    
Die Sprache L(G) besteht aus Zeichenketten, die nur
Terminalsymbole ( ) enthalten und durch beliebig viele Ableitungsschritte
ausgehend vom Startsymbol S erzeugt (
) enthalten und durch beliebig viele Ableitungsschritte
ausgehend vom Startsymbol S erzeugt ( ) werden. Hierzu drei Anmerkungen
) werden. Hierzu drei Anmerkungen
1. Eine Sprache ist kontextfrei, wenn sie von einer kontextfreien Grammatik erzeugt wird.
2. Während Zeichenketten bestehend aus Terminalsymbolen (Alphabet) Wörter der Sprache genannt werden, heißen die Zwischenschritte der Ableitung bestehend aus Nichtterminal- und - wenn nötig - Terminalsymbolen Satzform.
3. Zwei Grammatiken G1, G2 sind äquivalent, wenn sie dieselbe Sprache generieren ( L(G1) = L(G2) ).
Ableitungen lassen sich mit Ableitungsbäumen (auch Parse-Bäume genannt) visualisieren. Jede kontextfreie Grammatik kann mit Ableitungsbäumen beschrieben werden. Die Knoten solcher Bäume sind Terminal- und Nichtterminalsymbole. Die Wurzel ist immer ein Nichtterminalsymbol, während Terminalsymbole nur in Blättern auftreten. Betrachtet man den gesamten Ableitungsbaum, ist die Wurzel das Startsymbol der Grammatik.
Teilbäume eines Ableitungsbaumes sind Bäume mit einem Nichtterminalsymbol A als Wurzel und allen sich daraus ergebenden Kinderknoten. Die Anzahl der Knoten ist kleiner als die des gesamten zugrundliegenden Baumes, erseidenn der Teilbaum ist gleich dem Ableitungsbaum. Solche Teilbäume werden nach ihrer Wurzel genannt. Heißt die Wurzel also A spricht man von einem A-Baum.
Damit läßt sich jede Produktion einer Grammatik als
Teilbaum beginnend mit der linken Seite als Wurzel und den 1 bis n Symbolen der
rechten Seite als Kinderknoten darstellen. Die Symbole der rechten Seite seien
abgekürzt mit 

Abbildung 27 - Ableitungsbaum einer Produktion
Für einen Ableitungsbaum einer Grammatik  gelten folgende
Regeln
 gelten folgende
Regeln
1.       Jeder
Knoten repräsentiert ein Symbol  .
.
2. Die Wurzel stellt das Startsymbol der Grammatik dar.
3. Alle inneren Knoten sind Nichtterminalsymbole, da kontexfreie Grammatiken nur solche auf der linken Seite der Produktionen stehen haben. Entsprechend sind alle Terminalsymbole Blätter, aber nicht notwendigerweise alle Blätter Terminalsymbole.
4.      
Wenn ein Knoten ein Nichtterminalsymbol A repräsentiert und
die Kinderknoten X1, X2,...Xm hat, dann gibt
es eine Produktion aus der Menge der Produktionen von G mit  (siehe Grafik
vorangegangener Absatz).
 (siehe Grafik
vorangegangener Absatz).
5. Knoten, die das leere Wort e repräsentieren, sind immer Blatt, da sie das einzige Kind eines Knoten mit Nichtterminalsymbol darstellen (sogenannte e-Produktionen, wie wir später sehen werde). Aus dem leeren Wort können keine Abbildungen erfolgen und es kann ausschließlich auf das leere Wort und nicht auf Konkatenationen mit dem leeren Wort abgebildet werden, da sonst die restlichen Symbole der rechten Seite und nicht das leere Wort die Kinderknoten darstellen würden.

Abbildung 28 - richtige und falsche Ableitungsbäume von e-Produktionen
Gegeben sei eine Grammtik
                    
                                                                  
Das erste und letzte Zeichen der Wörter der zugehörigen Sprache sind also immer a. In der Mitte können b und a in mehrfacher Ausführung auftreten. Für das Wort
                    
                                                                                                    
kann man folgende Ableitung mit dem entsprechenden Ableitungsbaum angeben.
                    
                                                                              

Abbildung 29 - Beispiel Ableitungsbaum für Wort aabbaa
Als „yield“ oder „Front“ bezeichnet man die Zeichenkette, die sich ergibt, wenn man die Blätter des Baumes perorder von links nach rechts abliest. In diesem Beispiel ist die Front das Wort aabbaa, es muß sich aber nicht ausschließlich um Terminalsymbole handeln, auch Nichtterminalsymbole sind je nach Grammatik möglich (bei Grammatiken, bei denen Blätter auch Nichtterminalsymbole sein können).
Die Zusammenhänge zwischen Ableitungsbäumen und Ableitungen wurden im vorangegangenen Abschnitt nur exemplarisch und beschreibend dargelegt. Dies kann auch formal geschehen, wie im Folgenden gezeigt wird. Dazu wird wieder auf die Pfeilrelation zur Darstellung der Abbildungen und insbesondere auf die transitive Hülle dieser Relation zurückgegriffen.
Satz:
Für eine kontextfreie
Grammatik  gilt
 gilt  genau dann, wenn ein
Ableitungsbaum für G mit der Front (yield) a existiert.
 genau dann, wenn ein
Ableitungsbaum für G mit der Front (yield) a existiert.
                    
                                                  
Beweis:
Da eine Û Beziehung vorliegt, muß in beide Richtungen bewiesen werden, was sich hier aber sehr ähnlich gestaltet. Zunächst die
„Hinrichtung“
Geht man von einem Baum aus und will damit die Ableitungsschritte zeigen, so beweist man per Induktion über die Anzahl der inneren Knoten. Anstatt des gesamten Ableitungsbaums vom Startsymbol S aus, wählen wir eine Ableitung der Form
                    
                                                                                                                
von einem beliebigen Nichtterminalsymbol A zur Front a aus.
Induktionsverankerung (Anzahl innerer Knoten = 1)
Es handelt sich um eine einzelne Produktion aus G. Aus dem inneren Knoten A folgen n verschiedene Terminal- und Nichtterminalsymbole X1,X2,...,Xn als Front des Ableitungsbaumes. Die bereits weiter oben verwendete und hier nochmals abgebildete Grafik verdeutlich dies

Abbildung 30 - Ableitung bei einem einzelnen inneren Knoten
Formal ausgedrückt ist der Satz für die Hinrichtung bei einem inneren Knoten bewiesen
                    
                                                                                           
Induktionsschritt:
Gelte die Behauptung nun für Teilbäume mit k - 1 inneren Knoten und sei a die Front eines A‑Baums mit k inneren Knoten (k > 1). Die Kinderknoten eines solchen Wurzelementes A können nicht alle Blätter sein, da wegen k größer eins mindestens ein Kinderknoten innerer Knoten (bzw. Nichtterminalsymbol) ist.
Die Kinderknoten seien von 1 bis n durchnummeriert und mit X1,X2,...,Xm bezeichnet. Dies entspricht wieder einer Produktion der Grammatik
                    
                                                                                                 
Wegen k größer eins ist eines der Xi Nichtterminalsymbol. Von diesen nichtterminalen Xi verzweigen die verbleibenden k - 1 inneren Knoten.

Abbildung 31 - Illustration eines A-Baum
Wenn Xi kein Blatt ist, dann ist Xi also Nichtterminalsymbol und Wurzel eines Unterbaums. Dieser Xi-Baum habe die Front ai. Ist ein Xi allerdings Blatt und somit Nichtterminalsymbol, dann sei Xi = ai. Für j < i sind ein Xj sowie etwaige Kinderknoten in Front des A-Baums weiter links von einem Xi mit seinen Kinderknoten. Dann setzt sich die Front a des A-Baums folgendermaßen zusammen
                    
                                                                                                    
Die Grafik illustriert das mit der Darstellung von Xj- und Xi-Teilbäume nochmal

Abbildung 32 - A-Baum mit Kinderknoten und Xj-/Xi-Teilbäumen
Da A-Bäume k innere Knoten enthalten, ist die maximale Anzahl von inneren Knoten bei Xi‑Bäumen entsprechend k - 1. Ausnahme ist natürlich der Fall, dass ein Xi-Baum genau der A-Baum ist, was aber hier unbeachtet bleiben soll. Gemäß Induktionsannahme, dass der Satz in Hinrichtung für Bäume mit inneren Knoten k < 1 bereits bewiesen sei, folgt
                    
                                                                                 
Faßt man diese Teilableitungen für jedes Xi zusammen, ergibt sich für die Front des A‑Baums
                    
                          
Damit gilt  . Wenn dies für alle Nichtterminalsymbole A gilt, dann auch
für das Startsymbol S. Allerdings handelt es sich bei der durchgeführten Ab
. Wenn dies für alle Nichtterminalsymbole A gilt, dann auch
für das Startsymbol S. Allerdings handelt es sich bei der durchgeführten Ab leitung nur um eine mögliche Ableitung des Ableitungsbaumes.
leitung nur um eine mögliche Ableitung des Ableitungsbaumes.
Die Rückrichtung des Beweises erfolgt analog. Hier wird
von einem gegebenen  auf einen
Ableitungsbaum geschlossen. Da sowohl Hin- als auch Rückrichtung in der
Vorlesung ausgespart wurden, wird an dieser Stelle auf eine weitere Darlegung
verzichtet, zumal die Ähnlichkeit von Rückrichtung und Hinrichtung sehr hoch
ist. Stattdessen gehen wir lieber zum nächsten Thema.
 auf einen
Ableitungsbaum geschlossen. Da sowohl Hin- als auch Rückrichtung in der
Vorlesung ausgespart wurden, wird an dieser Stelle auf eine weitere Darlegung
verzichtet, zumal die Ähnlichkeit von Rückrichtung und Hinrichtung sehr hoch
ist. Stattdessen gehen wir lieber zum nächsten Thema.
Werden in einer Ableitung die Produktionen immer zuerst auf die am weitesten links stehenden Nichtterminalsymbole angewandt, dann spricht man von einer Links- oder leftmost-Ableitung. Wendet man die Produktionen hingegen immer auf die rechte Seite an, so spricht man von Rechts- bzw. rightmost-Ableitungen.
Definition:
Für eine kontextfreie Grammatik ist eine Linksableitung (leftmost)
                    
                                       
Die formale Definition sagt aus, dass in einem Ableitungsschritt (mit der Anwendung einer Produktion) immer das am weitesten links stehendene Terminalsymbol (das ist hier das A, gefolgt von einer belieben Kombination a aus Nichtterminal- und Terminalsymbolen) zuerst abgeleitet wird. Daraus folgen Ableitungen in n und beliebig vielen Schritten (transitive und reflexive Hülle).
                    
                                                                         
Wenn es eine Ableitung
                    
                                                                                 
gibt, dann existiert genau ein entsprechender Ableitungsbaum. Existiert umgekehrt ein Ableitungsbaum B mit der Front a (wie in den vorangegangenen Ausführungen mehrfach aufgetreten), dann gibt es im allgemeinen mehrere Ableitungen, die diesem Baum entsprechen. Allerdings gibt es nur genau eine Linksableitung für diesen Ableitungsbaum B.
Damit lassen sich Eindeutigkeit und Mehrdeutigkeit von Grammatiken definieren.
Definition:
Für eine kontextfreie Grammatik G gilt
                    
                                 
und analog
                    
                                     
Weiter ist eine kontextfreie Sprache L eindeutig, wenn es eine eindeutige kontextfreie Grammatik G gibt, für die L = L(G) gilt.
Umgekehrt heißt eine kontextfreie Sprache L inhärent mehrdeutig, wenn keine eindeutige kontextfreie Grammatik G mit L = L(G) existiert.
Grammatiken für kontextfreie Sprachen können überflüssige Produktionen und Nichtterminalsymbole enthalten. Mit verschiedenen Verfahren u. a. auch dem Umstellen auf Normalformen können Grammatiken auf einen einheitlichen und leichter zu untersuchenden Stand gebracht werden. In diesem Protokoll soll es um Entfernung von e-Produktionen gehen. Das sind Produktionen, bei denen auf der rechten Seite das leere Wort steht.
Solche Löschmöglichkeiten (auch Deletion genannt), sind
für die Definition einer Sprache durch eine Grammatik nicht nötig. Eine
Ausnahme muß gegeben sein, wenn die Sprache das leere
Wort enthält. Dann kann das Startsymbol ins leere Wort übergehen. Enthält die
Sprache das leere Wort nicht, so ist auch diese Produktion nicht nötig. Wir
werden mit dieser Vorstellung zeigen, dass es zu beliebigen kontextfreien
Sprachen L  eine kontextfreie
Grammatik gibt, die nur eine oder keine e-Produktionen enthält.
 eine kontextfreie
Grammatik gibt, die nur eine oder keine e-Produktionen enthält.
Definition:
Zu einer kontextfreien
Sprache existiert eine kontextfreie Grammatik
 existiert eine kontextfreie Grammatik  mit den Eigenschaften
 mit den Eigenschaften
1.                     
                                                                                                           
2.                     
                                                                                  
3.                     
                                                                                                  
4.                     
                                           
Die Sprache L wird also von der Grammatik G erzeugt und
verzichtet dabei auf e‑Produktionen. Lediglich der Übergang  wird zugelassen, wenn
das leere Wort Bestandteil von L ist.
 wird zugelassen, wenn
das leere Wort Bestandteil von L ist.
Beweis:
Für jede kontextfreie Sprache L existiert eine
kontextfreie Grammatik  mit
L = L(G’). Um auf die Sprache G zu gelangen, sind zwei Schritte zu
gehen. Zunächst werden alle Nichtterminalsymbole aussortiert, die direkt oder
über mehrere Produktionen zum leeren Wort e führen.
 mit
L = L(G’). Um auf die Sprache G zu gelangen, sind zwei Schritte zu
gehen. Zunächst werden alle Nichtterminalsymbole aussortiert, die direkt oder
über mehrere Produktionen zum leeren Wort e führen.
                    
                                                                         
Damit werden schrittweise alle Nichtterminalsymbole in Vi übernommen, die direkt oder über andere Vj mit j < i zum leeren Wort führen. Da die Anzahl der Symbole in V’ nicht unendlich ist, sind nach N Läufen alle Nichtterminalsymbole gefunden, die direkt oder direkt aber nach maximal N Ableitungen zum leeren Wort kommen.
                    
                                                                                                   
Vn sind dann die löschbaren Nichtterminalsymbole, d. h. Symbole, die mit endlich vielen Ableitungsschritten ins leere Wort e überführt werden können. Das wird in bekannter Notation festgehalten:
                    
                                                                                                 
Daraus folgt
                    
                                                                                                  
Nachdem die löschbaren Nichtterminalsymbole gefunden wurden, werden im zweiten Schritt die Produktionen auf Basis der verbliebenen Symbole umgebaut.
                    
                                   
                    
                                                                           
Daraus wird anschaulich klar, dass die Sprache L mit der
so entworfenen Grammatik  generiert werden kann
und die Grammatik über die in der Definition vorgegebenen Eingenschaften
verfügt.
 generiert werden kann
und die Grammatik über die in der Definition vorgegebenen Eingenschaften
verfügt.
Sei  eine kontextfreie
Grammatik. Dann ist ein Nichtterminalsymbol
 eine kontextfreie
Grammatik. Dann ist ein Nichtterminalsymbol  definitionsgemäß dann
nicht-überflüssig (brauchbar) wenn damit ein Wort generiert werden kann, und es
vom Startsymbol aus erreichbar ist.
 definitionsgemäß dann
nicht-überflüssig (brauchbar) wenn damit ein Wort generiert werden kann, und es
vom Startsymbol aus erreichbar ist.
Formal bedeutet das:
                    
                                                                                                    
und auch:
                    
                                                                                              
Die Umkehrung gilt dann natürlich auch. Ein
Nichtterminalsymbol  heißt dann
überflüssig, wenn
 heißt dann
überflüssig, wenn  nicht
(nicht-überflüssig ist). Also genau dann wenn die oben erwähnten zwei
Bedingungen nicht zutreffen.
 nicht
(nicht-überflüssig ist). Also genau dann wenn die oben erwähnten zwei
Bedingungen nicht zutreffen. 
Satz:
Für jede kontextfreie Sprache  (welche von einer
kontextfreien Grammatik erzeugt wurde) gibt es eine kontextfreie Grammatik
 (welche von einer
kontextfreien Grammatik erzeugt wurde) gibt es eine kontextfreie Grammatik  mit:
 mit:
1.        und
 und
2.      
 hat keine
überflüssigen Symbole
 hat keine
überflüssigen Symbole
Diese Grammatik kann man auch eine „reduzierte Grammatik“ nennen.
Beweis:
Sei nun die Sprache  kontextfrei. Dann
existierte eine kontextfreie Grammatik
 kontextfrei. Dann
existierte eine kontextfreie Grammatik  mit
 mit  . Der Beweis erfolgt in zwei Schritten. Dabei ist zu
beachten, dass es wichtig ist, die Reihenfolge der beiden Schritte genau
einzuhalten. Aber dazu später:
. Der Beweis erfolgt in zwei Schritten. Dabei ist zu
beachten, dass es wichtig ist, die Reihenfolge der beiden Schritte genau
einzuhalten. Aber dazu später:
·        
Schritt1: Man bilde die Menge  indem man all die
Nichtterminalsymbole auswählt, welche direkt ein Terminalsymbol generieren
können. Rekursiv fährt man dann für
 indem man all die
Nichtterminalsymbole auswählt, welche direkt ein Terminalsymbol generieren
können. Rekursiv fährt man dann für  fort all die
Nichtterminalsymbole in die Menge aufzunehmen, die Nichtterminalsymbole
enthalten, die Terminalsymbole erzeugen. Da die Zeichenmenge endlich ist muss
es ein
 fort all die
Nichtterminalsymbole in die Menge aufzunehmen, die Nichtterminalsymbole
enthalten, die Terminalsymbole erzeugen. Da die Zeichenmenge endlich ist muss
es ein  geben, für das die
zwei so entstandenen Mengen
 geben, für das die
zwei so entstandenen Mengen  gleich sind. Alle
weiteren Mengen
 gleich sind. Alle
weiteren Mengen  sind dann auch
gleich. Formal ausgedrückt bedeutet dies:
 sind dann auch
gleich. Formal ausgedrückt bedeutet dies:
                    
                                                                                
                    
                                                         
                    
                                                               
Nun betrachtet man alle Symbole in  . Man sieht, dass sie alle Terminalsymbole generieren. Die
Umkehrung gilt auch, wird ein Terminalsymbol generiert, so ist das dafür
verantwortliche Nichtterminalsymbol in
. Man sieht, dass sie alle Terminalsymbole generieren. Die
Umkehrung gilt auch, wird ein Terminalsymbol generiert, so ist das dafür
verantwortliche Nichtterminalsymbol in  . Die Sprache ist genau dann leer, wenn dass Startsymbol
nicht in
. Die Sprache ist genau dann leer, wenn dass Startsymbol
nicht in  ist. Man definiert
nun die Grammatik
 ist. Man definiert
nun die Grammatik  . Hierbei ist
. Hierbei ist  beschränkt auf Nichtterminalsymbole, welche in
Terminalsymbole überführt werden können und
beschränkt auf Nichtterminalsymbole, welche in
Terminalsymbole überführt werden können und  ist die Menge der Produktionen, welche Terminalsymbole produzieren.
 ist die Menge der Produktionen, welche Terminalsymbole produzieren.
Formal:
                    
                                                                               
Somit haben wir nun nur noch Nichtterminalsymbole, welche in Terminalsymbole überführt werden können.
·        
Schritt 2: Nun gilt zu überprüfen welche Symbole
eigentlich erreichbar sind. Dazu betrachtet man alle Nichtterminalsymbole  , welche auf der Rechten Seite einer Produktion auftauchen.
Man definiert rekursiv die Übernahme aller Nichtterminalsymbole
, welche auf der Rechten Seite einer Produktion auftauchen.
Man definiert rekursiv die Übernahme aller Nichtterminalsymbole  , welche über ein weiteres Nichtterminalsymbol
, welche über ein weiteres Nichtterminalsymbol  erreichbar sind, das
wiederum vom Startsymbol erreichbar ist. Auf diese Weise bekommt man alle
Symbole, welche in Terminalsymbole überführt werden können und die vom
Startzustand aus erreichbar sind. Ist dann einmal Gleichheit von zwei
aufainander folgenden Mengen
 erreichbar sind, das
wiederum vom Startsymbol erreichbar ist. Auf diese Weise bekommt man alle
Symbole, welche in Terminalsymbole überführt werden können und die vom
Startzustand aus erreichbar sind. Ist dann einmal Gleichheit von zwei
aufainander folgenden Mengen  und
 und  erreicht, so bleibt
diese Gleichheit bestehen. Dieser Fall muss auftreten, da der Symbolvorrat
endlich ist.
 erreicht, so bleibt
diese Gleichheit bestehen. Dieser Fall muss auftreten, da der Symbolvorrat
endlich ist.
Formal drückt man das so aus:
                    
                                                                                                 
                    
                                                             
                    
                                            
                    
                                                             
Ein Nichtterminalsymbol  ist also dann
enthalten, wenn es erreichbar ist. Wieder gilt auch die Umkehrung. Ist ein
Element erreichbar, so ist es auch in der Menge enthalten. Schließlich ist
 ist also dann
enthalten, wenn es erreichbar ist. Wieder gilt auch die Umkehrung. Ist ein
Element erreichbar, so ist es auch in der Menge enthalten. Schließlich ist  um all die
Nichtterminalsymbole reduziert, die nicht erreichbar sind. Ebenso werden die
Produktionen aus
 um all die
Nichtterminalsymbole reduziert, die nicht erreichbar sind. Ebenso werden die
Produktionen aus  genommen, welche
nicht verwendet werden können.
 genommen, welche
nicht verwendet werden können.
Formal:
                    
                                                                           
Kann nun Schritt 2 das Ergebnis von Schritt 1
kaputtmachen? Angenommen es gäbe kein Wort  , welches von
, welches von  erzeugt wird. Dann
muss aufgrund von Schritt 1 ein Symbol existieren, das Abgeleitet werden könnte, jedoch aufgrund von
Schritt 2 entfernt worden ist. Die Produktion war also nicht erreichbar.
Formal:
 erzeugt wird. Dann
muss aufgrund von Schritt 1 ein Symbol existieren, das Abgeleitet werden könnte, jedoch aufgrund von
Schritt 2 entfernt worden ist. Die Produktion war also nicht erreichbar.
Formal: 

Da aber  erreichbar ist, ist
auch B und alle Nichtterminalsymbole in
 erreichbar ist, ist
auch B und alle Nichtterminalsymbole in  erreichbar.
 erreichbar. 
Die Antwort darauf ist also Nein, jedoch ergibt sich ein Problem wenn man Schritt 2 vor Schritt 1 ausführt. Dies wird durch das folgende Beispiel deutlich:
Beispiel:
| 
 | Für nebenstehende Grammatik ergibt sich durch den ersten Schritt zunächst: 
 Hier wurden also die Nichtterminalsymbole genommen, die direkt in Terminalsymbolen enden. 
 Nun wurde das Startsymbol
  aufgrund der Produktion  
 Die weitere Betrachtung zeigt, dass keine weiteren Nichtterminalsymbole übernommen werden müssen also folgt: 
 | 
| 
 | Mit  | 
| 
 | Für den zweiten Schritt ergibt sich dann: 
 Dabei wurde jeweils nach der Erreichbarkeit der Symbole
  gesehen. Zuerst wird das Startsymbol eingeschlossen, das einzige von dort aus
  zu erreichende Symbol ist dann  | 
Was passiert nun, wenn man diese Reihenfolge vertauscht?
| 
 | Durch die Anwendung des zweiten Schrittes zuerst ergibt sich: 
 Dabei
  wurde jeweils nach der Erreichbarkeit der Symbole gesehen. Zuerst wird das
  Startsymbol eingeschlossen, dann übernimmt man die Symbole  | 
| 
 | Wendet man nun den ersten
  Schritt an, so übernimmt man zuerst  
 nun nimmt man noch das
  Startsymbol hinzu, da gilt  
 Für alle folgenden Iterationen gilt: 
 | 
Man bekommt also ein anderes Ergebnis. Die überflüssigen
(nicht erreichbaren) Produktionen  und
 und  wurden mit übernommen. Der Grund dafür liegt hier bei der
Produktion
wurden mit übernommen. Der Grund dafür liegt hier bei der
Produktion  hier kann
 hier kann  nicht in ein
Terminalsymbol überführt werden.
 nicht in ein
Terminalsymbol überführt werden.  hingegen kann in ein
Terminalsymbol überführt werden. Es ist also wichtig die Reihenfolge
einzuhalten.
 hingegen kann in ein
Terminalsymbol überführt werden. Es ist also wichtig die Reihenfolge
einzuhalten.
Wie kann man die Grammatik nun noch weiter minimieren?
Sei nun  eine Grammatik. Dann
heißt
 eine Grammatik. Dann
heißt  eine zyklische
Produktion. Da wir eine kontextfreie Grammatik gegeben haben, kann man
zyklische Produktionen herausschneiden. Die Ableitungsschritte der zyklischen
Produktionen müssen dann jedoch simuliert werden.
 eine zyklische
Produktion. Da wir eine kontextfreie Grammatik gegeben haben, kann man
zyklische Produktionen herausschneiden. Die Ableitungsschritte der zyklischen
Produktionen müssen dann jedoch simuliert werden.
Satz:
Sei  eine kontextfreie Sprache. Dann gibt es eine kontextfreie
Grammatik G mit:
eine kontextfreie Sprache. Dann gibt es eine kontextfreie
Grammatik G mit:
1.       
2.      

Beweis:
Sei  eine kontextfreie
Grammatik mit
 eine kontextfreie
Grammatik mit  . Dann gilt für alle
. Dann gilt für alle  :
:
                    
                                                         
Als neue Produktionen gelten also die „alten“ Produktionsregeln, ohne zyklische Produktionen, jedoch erweitert um die Produktionen, die durch den Zyklus erreicht werden könnten.
                    
                       
Offensichtlich ist nun  .
.
Beispiel:
| 
 | 
 | 
 | 
Eine kontextfreie Grammatik  heißt reduziert,
genau dann wenn:
 heißt reduziert,
genau dann wenn:
1.        hat keine
Produktionen vom Typ
 hat keine
Produktionen vom Typ  mit
 mit  . Es gibt also keine zyklischen Produktionen.
. Es gibt also keine zyklischen Produktionen. 
2.      
Es gibt keine  -Produktionen. Das Startsymbol kann nur dann gleich
-Produktionen. Das Startsymbol kann nur dann gleich  sein, wenn es in der
Sprache ist.
 sein, wenn es in der
Sprache ist. 
·        taucht auf keiner
rechten Seite auf,
 taucht auf keiner
rechten Seite auf,
·       Alle
Symbole  können keine
Produktionen
 können keine
Produktionen  haben.
 haben. 
·       
3.      
Jedes Nichtterminalsymbol ist brauchbar.  hat keine
überflüssigen Symbole und Produktionen d.h.:
 hat keine
überflüssigen Symbole und Produktionen d.h.:
·       
·       
Satz:
Sei  kontextfrei. Dann
existiert eine reduzierte kontextfreie Grammatik
 kontextfrei. Dann
existiert eine reduzierte kontextfreie Grammatik  mit
 mit  .
.
Beweis:
Sei  kontextfrei. Dann
existiert eine kontextfreie Grammatik
 kontextfrei. Dann
existiert eine kontextfreie Grammatik  mit
mit  :
:
a)     
Man modifiziere  , um Eigenschaft 2) zu erhalten, und erhält
, um Eigenschaft 2) zu erhalten, und erhält  ,
,
b)     
Man modifiziere  zu
 zu  mit Eigenschaft 1)
 mit Eigenschaft 1)
c)     
Man modifiziert schließlich  zu
 zu  mit Eigenschaft 3)
 mit Eigenschaft 3)
 ist dann reduziert
und es gilt weiterhin
 ist dann reduziert
und es gilt weiterhin  .
.
Bemerkung:
Es ist jedoch darauf zu achten die Reihenfolge zu beachten. Wie wir schon an dem Beispiel gesehen haben, kann die Ausführung in anderer Reihenfolge das Ergebnis verändern. Insbesondere bedeutet das für den letzten Beweis:
a)      man
muss A) vor B) ausführen, da A) Produktionen vom Typ  mit
 mit  einführen kann.
einführen kann.
b) B) zerstört nicht die Eigenschaft 2)
c) C) zerstört nicht die Eigenschaften 1) und 2)
Satz (Chomsky-Normalform):
Sei  eine reduzierte
kontextfreie Grammatik. Dann existiert eine reduzierte kontextfreie Grammatik
 eine reduzierte
kontextfreie Grammatik. Dann existiert eine reduzierte kontextfreie Grammatik  mit
 mit
1.        
                                                                                                                   
2. P‘ enthält nur Produktionen vom Typ
                    
                                                               
Diese reduzierte Form, die nur noch einen binären Ableitungsbaum erlaubt, heißt auch „Chomsky-Normalform“.
Beweis
Sei  reduziert. Man
konstruiert G‘ in mehreren Schritten.
Ziel ist es, alle Produktionen, die auf der rechten Seite mehr als zwei
Nichtterminale oder mehr als ein Terminal bzw. das leere Wort stehen haben,
umzubauen. Hierzu bauen wir neue Produktionsregeln aus den alten (P) auf:
 reduziert. Man
konstruiert G‘ in mehreren Schritten.
Ziel ist es, alle Produktionen, die auf der rechten Seite mehr als zwei
Nichtterminale oder mehr als ein Terminal bzw. das leere Wort stehen haben,
umzubauen. Hierzu bauen wir neue Produktionsregeln aus den alten (P) auf:
                    
                                                                                       
diese Menge nimmt also alle diejenigen Regeln aus P auf, die gemäß unserer Bedingung 2) ohnehin in P‘ enthalten sein dürften. Wir definieren nun einen Homomorphismus h(), einerseits die Terminale auf neue Nichtterminale (in eckigen Klammern geschrieben) abbildet und andererseits die Nichtterminale ohne Änderung überträgt:
                    
                                                                                  
Damit bauen wir eine neue Produktionsmenge auf, die alle Produktionen aufnimmt, die in P auf der rechten Seite mehr als zwei symbole (Terminale bzw. Nichtterminale) enthielten. Damit haben wir sämtliche Regeln aus P abgehandelt.
                    
                                                                          
Wir müssen jetzt P1 und P2 noch zusammenfassen und die neuen Nichtterminale in eckigen Klammern zurück auf die ursprünglichen Terminale abbilden:
                    
                                                                              
Wir erhalten nun also
offensichtlich  mit
 mit  . Dabei gilt:
. Dabei gilt:
                    .
.                                                                                          
Nun haben wir in P2 noch Regeln enthalten, die mehrere Nichtterminale auf der rechten Seite stehen haben. Diese reduzieren wir nun durch Aufblähen unserer Produktionsregelmenge, indem wir jede Regel in mehrere aufsplitten. Dies wird durch das spätere Beispiel noch deutlicher.
Wir ersetzen also jede
Produktion aus P3 mit der
Form  durch
 durch
                    
                                                        
Dabei sind die  neue Nichtterminale,
die V‘ hinzuzufügen sind. Somit erhält
man
 neue Nichtterminale,
die V‘ hinzuzufügen sind. Somit erhält
man  mit
 mit  .
.
Satz:
Sei  eine kontextfreie
Grammatik in Chomsky-Normalform. Dann gilt:
 eine kontextfreie
Grammatik in Chomsky-Normalform. Dann gilt:
                    
                                                                                
Die Anzahl der Schritte (2n-1) läßt sich aus dem folgenden Schaubild ersehen:

Beispiel
Wir wollen die Grammatik  mit
 mit  auf
Chomsky-Normalform bringen und wenden hierzu die aus dem obigen Satz bekannten
zwei Schritte an:
 auf
Chomsky-Normalform bringen und wenden hierzu die aus dem obigen Satz bekannten
zwei Schritte an:
| P | Schritt 1 | Schritt 2 | 
| 
 | 
 | 
 | 
| 
 | 
 | 
 | 
| 
 | 
 | 
 | 
| 
 | 
 | 
 | 
| 
 | 
 | 
 | 
| 
 | 
 | 
 | 
Damit haben wir eine Grammatik in Chomsky-Normalform mit den in Schritt 2 bezeichneten Produktionen und den Nichtterminalen:
                    
                                
Wir kommen nun zu dem Thema der „Pushdown-Automaten“ („Kellerautomaten“). Wie wir später sehen werden, beschreiben kontextfreie Grammatiken und Pushdown-Automaten (PDA) dieselben Sprachen.
Im Wesentlichen ist ein PDA ein endlicher Automat, der sowohl über ein Band als auch über einen Stack (Keller) gesteuert wird. Weiter besitzt er eine endliche Kontrolle. Der Stack ist eine Symbolfolge über einem Alphabet. Wir stellen uns den Keller um 90° gekippt vor, so daß das erste Kellersymbol („Top“) immer das am weitesten links stehende Symbol ist.
Der Automat kann auf zwei Arten arbeiten: Entweder liest er ein Symbol der Eingabe und kann in Abhängigkeit des aktuellen Zustandes und des obersten Elementes des Stacks den zustand wechseln. Das oberste Element des Stacks wird dann entfernt und eventuell durch ein neues Alphabetsymbol, einer Symbolfolge oder durch das leere Wort ersetzt. Sodann geht der Lesekopf eine Position auf dem Band nach rechts.
In der zweiten Arbeitsweise liest der Automat kein Symbol (eine sogenannte „ “) vom Eingabeband (der Lesekopf bewegt sich also nicht).
Genau wie oben können Zustand und/oder Stack verändert werden.
“) vom Eingabeband (der Lesekopf bewegt sich also nicht).
Genau wie oben können Zustand und/oder Stack verändert werden.
Bildlich kann man sich das ganze wie in Abbildung 34 vorstellen:

Definition (Pushdown-Automat)
Ein Pushdown-Automat (PDA, Kellerautomat)
ist ein 7-Tupel  mit:
 mit:
1. Q ist eine endliche Menge von Zuständen
2.      
 ist eine endliche
Menge von Eingabesymbolen
 ist eine endliche
Menge von Eingabesymbolen
3.      
 ist eine endliche
Menge von Kellersymbolen
 ist eine endliche
Menge von Kellersymbolen
4.      
 ist der
Anfangszustand
 ist der
Anfangszustand
5.      
 ist das
Anfangskellersymbol (also das Symbol, mit dem der Keller
initialisiert wird)
 ist das
Anfangskellersymbol (also das Symbol, mit dem der Keller
initialisiert wird)
6.      
 ist die Menge der akzeptierenden Zustände
 ist die Menge der akzeptierenden Zustände
7.      

In Punkt 7 ist die Bedingung „A endlich“ eingefügt, da  unendlich sein könnte
(wegen der Kleeneschen Hülle).
 unendlich sein könnte
(wegen der Kleeneschen Hülle).
Wir können zwei Feststellungen machen:
1.       Ein
PDA ist in der Regel nicht deterministisch. Dies ergibt sich aus der Tatsache,
daß  eine Funktion ist, die auf eine Menge abbildet.
 eine Funktion ist, die auf eine Menge abbildet.
2.      
Die Stillstandsbewegung des „Lesekopfs“ ergibt sich aus der
Funktionsverwendung  . Dies bedeutet, dass das Eingabesymbol nicht gelesen wird
und nur eine Zustandsveränderung und/oder Stackveränderung vorgenommen wird.
. Dies bedeutet, dass das Eingabesymbol nicht gelesen wird
und nur eine Zustandsveränderung und/oder Stackveränderung vorgenommen wird.
Definition (Konfiguration)
Sei  ein PDA. Dann ist
 ein PDA. Dann ist  eine Konfiguration
von M. Die Bedeutung einer solchen
Konfiguration
 eine Konfiguration
von M. Die Bedeutung einer solchen
Konfiguration  ist:
 ist:
·        
 augenblicklicher
Zustand
   augenblicklicher
Zustand
·        
 noch verbleibende
Eingabe mit a als nächstem Symbol,
noch verbleibende
Eingabe mit a als nächstem Symbol, 
·        
 Kellerinhalt,
mit A als oberstem Symbol,
            Kellerinhalt,
mit A als oberstem Symbol, 
Anmerkung: Eine Konfiguration kann man also als den Gesamtzustand eines PDAs ansehen. Sie beschreibt zu jedem Zeitpunkt genau den Zustand eines PDAs.
Definition
Sei  ein PDA. Dann
definieren wir die folgenden Operationen:
 ein PDA. Dann
definieren wir die folgenden Operationen:
                    
                                                
                    
                                    
Seien c und c‘ zwei beliebige Konfigurationen. Dann gilt:
                    
                                                
Für alle Konfigurationen c gilt:
                    
                                                                                                                   
                    
                                                                                
Diese Definition bezieht sich also auf die Übergänge
innerhalb des Automaten, die durch die Funktion  realisiert werden und gibt uns eine einfachere Notation.
 realisiert werden und gibt uns eine einfachere Notation.
Die folgende Definition zeigt uns, dass wir drei Möglichkeiten haben, wie wir die Akzeptierung eines Wortes definieren. Es ist daher immer wichtig, zu wissen, von welcher Akzeptierungsart gesprochen wird.
Definition (Akzeptierungsarten)
Sei  ein PDA. Dann
existieren drei Möglichkeiten der Akzeptierung:
 ein PDA. Dann
existieren drei Möglichkeiten der Akzeptierung:
1. Akzeptierung durch akzeptierende Zustände und leeren Stack:
                    
                                   
2. Akzeptierung nur durch akzeptierende Zustände:
                    
                       
3. Akzeptierung nur durch leeren Stack:
                    
                                     
Beispiel eines PDA

Dieser PDA stellt die Sprache  dar. Dabei bedeutet
 dar. Dabei bedeutet  , dass bei Lesen des Zeichens a und wenn Z0
das oberste Element des Stacks ist, Z0
vom Stack entfernt wird und durch A
ersetzt wird.
, dass bei Lesen des Zeichens a und wenn Z0
das oberste Element des Stacks ist, Z0
vom Stack entfernt wird und durch A
ersetzt wird.
Würde man die Akzeptierung vom Typ 2) annehmen, so
gälte  , da bei dieser Variante bereits akzeptiert wird, wenn nur
ein akzeptierender Zustand vorliegt.
, da bei dieser Variante bereits akzeptiert wird, wenn nur
ein akzeptierender Zustand vorliegt.
In diesem Beispiel realisiert der Stack also eine Art Zähler.
Satz (Äquivalenz Akzeptierungsarten):
Sei  eine Sprache. Dann
sind die folgenden Aussagen gleichwertig:
 eine Sprache. Dann
sind die folgenden Aussagen gleichwertig:
1.        für einen PDA M1
 für einen PDA M1
2.      
 für einen PDA M2
 für einen PDA M2
3.      
 für einen PDA M3
 für einen PDA M3
Beweis
1)Þ2):
Sei  für
 für  . Wir definieren einen zweiten PDA:
. Wir definieren einen zweiten PDA:
                    
                                                            
mit  . Die Übergangsfunktion definieren wir so:
. Die Übergangsfunktion definieren wir so:
                    
                                 
Man kann verifizieren, dass gilt:
                    
                                                  
und damit  .
.
Bildlich kann man sich die Konstruktion so vorstellen,
dass zu Anfang ein „Stoppersymbol“ Y
auf den Stack gelegt wird, dann der alte Automat M1 normal laufen gelassen wird. Wenn dieser ein Wort
akzeptiert, dann ist der Stack normalerweise leer. In unserem Falle wird also
noch Y auf dem Stack liegen. Wenn das
der Fall ist, dann wird in den Zustand p
verzweigt, der der einzige akzeptierende Zustand ist. Aufgrund dieses Zustandes
akzeptiert nun der Automat M2
aufgrund von  alleinig wegen des
Zustandes.
 alleinig wegen des
Zustandes.
2)Þ3):
Sei  für
 für  . Wir definieren einen neuen PDA M3 wie folgt:
. Wir definieren einen neuen PDA M3 wie folgt:
                    
                                                                      
mit  . Wir haben dann
. Wir haben dann  und definieren die
Übergangsfunktion so:
 und definieren die
Übergangsfunktion so:
Bei der zweiten Zeile von  zeigt sich der
Nichtdeterminismus. Hier steht  für den Start des
Löschens des Stacks und
 für den Start des
Löschens des Stacks und  für das
Weiterarbeiten in der alten Maschine.
 für das
Weiterarbeiten in der alten Maschine.
Die Funktionsweise ist die folgende: Solange wir in einem Zustand aus dem alten Automaten M2 sind, arbeiten wir im alten Automaten (letzte Regel). Sind wir in einem akzeptierenden Zustand des alten Automaten, so löschen wir den Stack (zweite Regel erster Teil bzw. dritte Regel) oder arbeiten im alten Automaten weiter (zweite Regel zweiter Teil), da man auch in einem akzeptierenden Zustand im alten Automaten weiterarbeiten könnte ohne direkt abzubrechen.
Dies alles zeigt uns (was man auch formal beweisen könnte), dass gilt
                    
                          
und damit  .
.
3)Þ1):
Sei  für
 für  . Dann definieren wir einfach einen Automaten, der die
gesamte Zustandsmenge akzeptiert:
. Dann definieren wir einfach einen Automaten, der die
gesamte Zustandsmenge akzeptiert:
                    
                                                                             
Damit gilt offensichtlich  , da der Automat M1
mit der Definition von T nur dann ein
Wort akzeptiert, wenn der Zustand akzeptiert wird und der Stack leer ist. Da M3 aber nur dann akzeptiert,
wenn der Stack leer ist und in M1
alle Zustände akzeptieren, gilt dies bereits.
, da der Automat M1
mit der Definition von T nur dann ein
Wort akzeptiert, wenn der Zustand akzeptiert wird und der Stack leer ist. Da M3 aber nur dann akzeptiert,
wenn der Stack leer ist und in M1
alle Zustände akzeptieren, gilt dies bereits.
Satz (Äquivalenz PDA/ kontextfreie Grammatik):
Sei  eine kontextfreie
Grammatik in Chomsky-Normalform. Dann existiert ein PDA M, so dass
 eine kontextfreie
Grammatik in Chomsky-Normalform. Dann existiert ein PDA M, so dass  .
.
Beweis:
Wir definieren zunächst einen PDA und zeigen dann, dass das Gesagte gilt. Sei also
                    
                                                                                   
der PDA. Wir betrachten nun
die Definition von  . Hieraus folgt die Definition der Übergangsfunktion:
. Hieraus folgt die Definition der Übergangsfunktion:
Mit der ersten Regel können wir das jeweils oberste
(linkeste) Stacksymbol durch Produktionen ersetzen und damit den Stack
„aufblähen“ (nichtdeterministisch, wie man natürlich an der Mengenklammer
sieht). Dabei handelt es sich um reine  -Bewegungen, d.h. es wird kein Zeichen der Eingabe gelesen,
sondern es werden lediglich sämtliche möglichen Produktionen des obersten
Stacksymbols, das ein Nichtterminal ist, „durchprobiert“.
-Bewegungen, d.h. es wird kein Zeichen der Eingabe gelesen,
sondern es werden lediglich sämtliche möglichen Produktionen des obersten
Stacksymbols, das ein Nichtterminal ist, „durchprobiert“.
Die zweite Regel dient dazu, Terminale wieder vom Stack löschen zu können. Diese Löschen kann man sich wie ein „Matching“ vorstellen, d.h. ein Terminal wurde als „möglich“ erkannt und vom Stack gelöscht. Dabei wird der Lesekopf auf das nächste Eingabesymbol weitergeschoben.
Wir vollziehen den Beweis nun in zwei Schritten. Die beiden Schritte zusammen ergeben den Gesamtbeweis:
                   
1. und 2. zusammen ergeben die Aussage, wie wohl offensichtlich ist (1 ist die eine Richtung und 2 die andere).
Beweis von 1:
Wir beweisen per Induktion:
Induktionsverankerung (n=1):
Es sei  . Dann folgt daraus
. Dann folgt daraus  und
 und  (also dass w ein einzelnes Eingabesymbol ist). Hieraus
folgt mit der Definition von
 (also dass w ein einzelnes Eingabesymbol ist). Hieraus
folgt mit der Definition von  (Punkt 1)(siehe ):
 (Punkt 1)(siehe ):  . Daraus wiederum folgt:
. Daraus wiederum folgt:
                    
                                                                              
(der letzte Ableitungsschritt gilt wegen Punkt 2 der
Definition von  (siehe ).
 (siehe ).
Induktionsannahme n:
Für alle  gelte die folgende
Implikation:
 gelte die folgende
Implikation:
                    
                                                         
Induktionsschritt ( ):
):
Wir haben  . Dies ist äquivalent zu
. Dies ist äquivalent zu  . Die Einzelableitung gilt, weil wir angenommen haben, dass
die kontextfreie Grammatik G in
Chomsky-Normalform vorliegt. Mit Regel 1 der Definition von
. Die Einzelableitung gilt, weil wir angenommen haben, dass
die kontextfreie Grammatik G in
Chomsky-Normalform vorliegt. Mit Regel 1 der Definition von  (siehe ) folgt:
 (siehe ) folgt:
                    
                                                                                            
also  . Es gilt weiter
. Es gilt weiter  mit
 mit  und
 und  mit
 mit  . Damit gilt nach zweimaliger Anwendung der Induktionsannahme
. Damit gilt nach zweimaliger Anwendung der Induktionsannahme
                    
                                                                           
Damit gilt insgesamt
                    
                                                                              
und damit die Behauptung.
Der Beweis zur Äquivalenz von PDA und kontextfreier Grammatik wurde in der Vorlesung vom 06. Juni 2000 begonnen, und wird hier fortgeführt.
Es ist zu zeigen:
1: „Hin-Richtung“:
2: „Rückrichtung“:
Das Symbol „A“ sei hierbei ein Nichtterminal der kontextfreien Grammatik.
Die „Hin-Richtung“ wurde bereits gezeigt. Nun folgt der Beweis der „Rückrichtung“, d.h. wir müssen zeigen, dass jedes Wort, welches unser Automat akzeptiert, auch durch die Grammatik erzeugt werden kann. Diesen Beweis erbringen wir durch vollständige Induktion über die Länge der Produktion n.
Wir erinnern uns: Der PDA wurde so konstruiert, dass die Terminalsymbole der kontextfreien Grammatik als Bandalphabet dienen, und sowohl die Terminalsymbole als auch die Nichtterminalsymbole der kontextfreien Grammatik als Stacksymbole dienen.
Induktionsverankerung (n=1):
Für n=1 gilt:
                    
                                                                               
Bei der Definition unseres Kellerautomaten, dem ja eine kontextfreie Grammatik zugrunde liegt, haben wir einen Zustandsübergang genau dann hinzu genommen, wenn für diese kontextfreie Grammatik mindestens eine von zwei Bedingungen erfüllt ist:
                    
                                                                        
Das bedeutet in geschriebener Sprache, dass entweder a) kein Symbol vom Band gelesen wird, und ein auf dem Stack liegendes „Nichtterminal“[13] durch das „Terminal“ „leeres Wort“ ersetzt wird, oder b) das vom Band gelesene „Terminal“ dem (einzigen) Zeichen auf dem Stack entspricht, und der Stack daher leergeräumt wird.
Fall a) tritt definitionsgemäß (siehe Definition unseres PDA) genau dann ein, wenn in der kontextfreien Grammatik ein Übergang des Nichtterminales in das Terminal „leeres Wort“ existiert. Da die kontextfreie Grammatik in Chromsky-Normalform ist, kann es sich nur um den Übergang des Startsymboles S in das leere Wort handeln. Unser Nichtterminalsymbol A muss dann also („von vorne herein“) das Startsymbol S gewesen sein, und es muss eine Produktionsregel geben, die das Startsymbol S in das leere Wort übergehen lässt.
In diesem Fall handelt es sich um einen e-Übergang:
                    
                                                                                  
Da es also diese Produktionsregel gibt, gilt:
                    
                                                                                            
Damit ist für die Produktionslänge n=1 und den Fall a) gezeigt, dass jedes Wort, dass unser PDA akzeptiert, von der kontextfreien Grammatik erzeugt wird.
Fall b) ist noch einfacher. Fall b) kann nämlich gar nicht eintreten, da das Symbol auf dem Stack (A) ein „Nichtterminalsymbol“ ist. Demzufolge wird es auf dem Band nie das Zeichen A geben, und Fall b) tritt nie ein. Damit ist für die Produktionslänge n=1 (für Fall a) und Fall b)) gezeigt, dass jedes Wort, dass unser PDA akzeptiert, von der kontextfreien Grammatik erzeugt wird.
Induktionsannahme:
                    
                                                    
Induktionsschritt ( ):
):
                    
                                                                                               
Wir betrachten nun ausdrücklich nur Ableitungen, die eine Länge größer als zwei haben. Dies geschieht aber in Übereinstimmung mit dem Skript zur Vorlesung[14]. Der Fall, dass das „Nichtterminal“ A, das auf dem Stack liegt, im ersten Zustandsübergang durch ein Terminal ersetzt wird, kann nicht eintreten. Könnte er eintreten, wäre der Stack nach dem zweiten Zustandsübergang bereits leer – und damit die Verarbeitung des PDA beendet; das ist aber ein Widerspruch zu der Annahme, dass mindestens drei Zustandsübergänge erfolgen.
Daher gilt:
Dieser Übergang des Stacksymboles A in die Stacksymbole B und C kann nur definiert worden sein, wenn die kontextfreie Grammatik die entsprechende Produktion enthält:
                    
                                                                                                      
Der Ausdruck bedeutet nichts anderes, als dass das vorhandene „Nichtterminal“ auf dem Stack durch zwei andere „Nichtterminale“ ersetzt wird. Je nach Länge des Eingabewortes geschieht dies einige Male. Letzten Endes werden aber alle so auf dem Stack abgelegten „Nichtterminale“ wieder „abgebaut“, das bedeutet Stück für Stück durch Vergleichen mit dem Eingabewort durch das leere Wort ersetzt – bis der Stack irgendwann leer ist. Insbesondere bedeutet das, dass „C“ nicht vom Stack gelöscht werden kann, bevor nicht auch „B“ vom Stack gelöscht wurde. Und wenn wir einen Schritt weiter denken, und davon ausgehen, dass sowohl C als auch B auf dem Stack durch mehrere andere „Nichtterminale“ ersetzt werden, bedeutet das trotzdem, dass die „Nichtterminale“, die aus B hervorgegangen sind, nicht gelöscht werden können, bevor nicht die „Nichtterminale“ gelöscht wurden, die aus C hervorgegangen sind.
Daher lässt sich die Verarbeitung des Eingabewortes w wie folgt zerlegen:
                    
                                   
mit  und
 und  . Unter Zuhilfenahme der Induktionsannahme folgt daraus:
. Unter Zuhilfenahme der Induktionsannahme folgt daraus:
                    
                                                                                           
Den Übergang von A nach BC haben wir selber in definiert, daher gilt:
                    
                                                                                 
Damit ist der Induktionsbeweis abgeschlossen:
                    
                                                                      
Gesamtbeweis:
Wenn wir nun in den (bewiesenen) Behauptungen und das allgemeine „Nichtterminal“ A durch das spezielle Nichtterminal, das Startsymbol S ersetzen, erhalten wir:
                    
                                                    
Neben der Chomsky Normalform ist auch die Greibach Normalform als weitere standardisierte Darstellungsform für kontextfreie Grammatiken bekannt. Hier sind alle Produktionen derart gestaltet, dass die rechte Seite immer mit einem Terminalsymbol beginnt und keines oder beliebig viele Nichtterminalsymbolen folgen.
                    
                                                                                     
Um zu zeigen, dass sich jede kontextfreie Grammatik für Sprachen ohne leeres Wort e in Greibach Normalform bringen lässt, wie wir in den folgenden Abschnitten zeigen werden, muss es möglich sein, äquivalente Grammatiken aufzustellen, bei denen mehrere Ableitungsschritte in einzelnen Produktionen zusammengefasst werden. Dass solche Zusammenfassungen möglich sind, wird im Folgenden gezeigt.
Eine A-Produktion ist eine Produktion der Form
                    
                                                                                                                
mit einem Nichtterminalsymbol A auf der linken Seite. Bei
einer kontextfreien Grammatik  gebe es eine
A-Produktion
 gebe es eine
A-Produktion  mit B-Produktionen
 mit B-Produktionen
                    
                                                                                               
Dann gibt es eine aus G hervorgehende kontextfreie
Grammatik  mit neuen
Produktionen
 mit neuen
Produktionen 
                    
                                                                           
die durch Ableiten von  aus G mit
 aus G mit  entstehen. Die
Produktion
 entstehen. Die
Produktion  ist dann überflüssig
und fehlt in G1. Dann gilt
 ist dann überflüssig
und fehlt in G1. Dann gilt  .
. 
Beweis:
Der Beweis ist einfach, da sich  ergibt, wenn man für jede Ableitung
ergibt, wenn man für jede Ableitung
                    
                                                                                             
in G1 das entsprechende
                    
                                                                                                           
verwendet. Umgekehrt ist  , da
, da  die einzige
Produktion ist, die in G und nicht in G1 enthalten ist. Immer, wenn
 die einzige
Produktion ist, die in G und nicht in G1 enthalten ist. Immer, wenn  benötigt wird, folgt
in einem späteren Ableitungsschritt
 benötigt wird, folgt
in einem späteren Ableitungsschritt  , was man in G1 in einem einzigen Ableitungsschritt mit
, was man in G1 in einem einzigen Ableitungsschritt mit  realisiert wird.
Folglich ist
 realisiert wird.
Folglich ist  .
.
Mit der im vorangegangen Abschnitt vorgestellten Möglichkeit, Zusammenfassungen von Ableitungen vorzunehmen, kann man bereits viele Produktionen in Greibach Normalform überführen. Problematisch wird es allerdings bei linksrekursiven Produktionen, die Nichtterminalsymbole auf sich selbst und weitere Symbole abbilden, da diese nicht ohne Weiteres in die gewünschte Form zu bringen sind.
Solche Produktionen der Gestalt
                    
                                                                           
heißen linksrekursiv. Um sie kompatibel für die Greibach Normalform zu machen, kann man äquivalente rechtsrekursive Produktionen einführen. Gegeben sei eine Menge von A-Produktionen
                    
                                
wobei die oberen Produktionen linksrekursiv und die unteren nicht linkrekursiv sind. Damit können die Wörter abgeleitet werden, die durch den regulären Ausdruck
                    
                                                                            
beschrieben werden. Dabei handelt es sich um Wörter, die aus einem bj an erster Stelle und beliebig vielen folgenden ai bestehen. Diese Wörter lassen sich genauso durch Hinzufügen eines neuen Nichtterminalsymbols B mit Produktionen der folgenden Form erzeugen
                    
                                                                                      
Damit liegen dann keine linksrekursiven, sondern rechtsrekursive Abbildungen vor, die die gleichen Wörter generieren und die zugehörigen Grammatiken somit die gleiche Sprache beschreiben.
Formaler gesprochen, gibt es zu einer kontextfreien
Grammatik  mit linksrekursiven
Produktionen eine entsprechende Grammatik
 mit linksrekursiven
Produktionen eine entsprechende Grammatik  mit rechtsrekursiven
Produktionen. Dabei sind alle Produktionen identisch, außer den
linksrekursiven, die durch rechtsrekursive ersetzt werden.
 mit rechtsrekursiven
Produktionen. Dabei sind alle Produktionen identisch, außer den
linksrekursiven, die durch rechtsrekursive ersetzt werden. 
G habe nun Produktionen der Form
                    
                               
und G1 entsprechend zusätzliche
                    
                                                                                      
wobei die  in G1 nicht mehr auftauchen. Dann gilt
in G1 nicht mehr auftauchen. Dann gilt  .
.
Die folgende Illustration verdeutlicht die Ableitungsschritte.

Abbildung 36 - Links- und rechtrekursive Ableitungen
Beweis:
In G endet jede Ableitung
von  mit
mit  . Damit erhält man
. Damit erhält man
                    
                                    
was in G1 folgendermaßen erzielt wird
                    
                                        
Da beide Ableitungen zu den gleichen Wörtern führen, die
dem oben genannten regulären Ausdruck entsprechen, gilt  . Somit wurde gezeigt, dass sich linksrekursiven Produktionen
unter Zuhilfenahme neuer Nichtterminalsymbols Bk sowie weiterer
Produktionen in rechtsrekursive umwandeln lassen und dabei die mit der
Grammatik erzeugte Sprache
. Somit wurde gezeigt, dass sich linksrekursiven Produktionen
unter Zuhilfenahme neuer Nichtterminalsymbols Bk sowie weiterer
Produktionen in rechtsrekursive umwandeln lassen und dabei die mit der
Grammatik erzeugte Sprache  erhalten bleibt.
erhalten bleibt.
Satz:
Jede kontextfreie Sprache L ohne leeres Wort e kann durch eine kontextfreie Grammatik G generiert werden, deren Produktionen die Form
                    
                                                                                   
haben. A und Bi sind Nichtterminalsymbole, a ist ein Terminalsymbol. Sind alle Produktionen von dieser Form, heißt die Grammatik in Greibach Normalform.
Beweis:
Der Nachweis über die Richtigkeit dieser Aussage wird mit
Hilfe eines Algorithmus erbracht, der eine beliebige Grammatik  , die sich bereits in Chomsky Normalform (CNF) befindet, in
eine Grammatik
, die sich bereits in Chomsky Normalform (CNF) befindet, in
eine Grammatik  in Greibach
Normalform (GNF) umwandelt.
 in Greibach
Normalform (GNF) umwandelt.
Der Umwandlungsprozess wird in drei Schritten vorgenommen. Zunächst nummerieren wir die Nichtterminalsymbole der Ausgangsgrammatik G1 mit i = 1...m
                    
                                                                                             
mit dem Ziel, alle Produktionen in die Form
                    
                                                                                             
zu überführen. Dazu durchlaufen wir alle Ai-Produktionen
mit  und
i = 1...m und ersetzen jeweils - wie in der Vorbemerkung gezeigt -
die Aj mit allen Aj-Produktionen. Für den Fall, dass eine
linksrekursive Produktion
 und
i = 1...m und ersetzen jeweils - wie in der Vorbemerkung gezeigt -
die Aj mit allen Aj-Produktionen. Für den Fall, dass eine
linksrekursive Produktion  auftritt, werden wie
im vorherigen Abschnitt beschrieben, ein neues Nichtterminalsymbol und neue
Produktionen eingeführt und die linksrekursive in eine rechtsrekursive
Produktion umgewandelt.
 auftritt, werden wie
im vorherigen Abschnitt beschrieben, ein neues Nichtterminalsymbol und neue
Produktionen eingeführt und die linksrekursive in eine rechtsrekursive
Produktion umgewandelt.
Am Ende dieses ersten Schrittes haben wir Produktionen
erhalten, für die mit  i < j
gilt. Die Produktionen für Am sind dann in Greibach Normalform
 i < j
gilt. Die Produktionen für Am sind dann in Greibach Normalform  . Algorithmisch betrachtet sieht die Sortierung nach i
< j so aus
. Algorithmisch betrachtet sieht die Sortierung nach i
< j so aus
for i :=
1 to m do
  for j := 1 to i - 1 do
foreach Ai -> AjaÎ P1 do
      Füge hinzu Ai -> b1a|b2a|...|bsafür alle 
         Produktionen Aj
-> b1a|b2a|...|bsa ;
Entferne Ai -> Aja ;
    next
  next j
if Ai -> AiaÎ P1 then
Füge Nichtterminalsymbol Bi hinzu ;
Füge hinzu Ai -> b1Bi|b2Bi|...|bsBi für alle
Produktionen Aj -> b1|b2|...|bs mit Ai nicht erstem Zeichen von ßl ;
Füge hinzu Bi -> a1|a2|...|ar ;
Füge hinzu Bi -> a1Bi|a2Bi|...|arBi ;
Entferne Ai -> Aia ;
endif
next i
Im zweiten Schritt können wir die so geordneten
Produktionen in Greibach Normalform überführen, indem wir sukzessive alle Ai-Produktionen
beginnend bei Am (das ja bereits ein Terminalsymbol als erstes
Zeichen auf der rechten Seite und dann wegen der ursprünglichen Chomsky
Normalform von G1 folgende Nichtterminalsymbole hat, also in Greibach
Normalform ist) in die rechte Seite der Ai-1-Produktion einsetzen.
Da  i < j
für alle Produktionen gilt, sind so im Anschluss an diesen Schritt alle
Produktionen in Greibach Normalform. Algorithmisch kann das folgendermaßen
beschrieben werden
 i < j
für alle Produktionen gilt, sind so im Anschluss an diesen Schritt alle
Produktionen in Greibach Normalform. Algorithmisch kann das folgendermaßen
beschrieben werden
for i :=
m - 1 downto 1 do
  foreach Ai -> AjaÎ P1
mit i < j do
    Füge hinzu Ai -> b1a|b2a|...|bsa für
alle 
       Produktionen Aj -> b1a|b2a|...|bsa ;
Entferne Ai -> Aja ;
  next 
next I
Im Anschluss daran befinden sich alle Ai-Produktionen in Greibach Normalform. Bleiben nur noch die möglicherweise hinzugekommenen Bi-Produktionen, deren rechte Seite im dritten und letzten Schritt analog umgeformt werden.
Da die ursprüngliche Grammatik G1 in Chomsky Normalform ist, besteht die rechte Seite jeder Produktion entweder aus einem Terminalsymbol oder aus zwei Nichtterminalsymbolen. Durch die in den beiden ersten Schritten vorgenommen Umformungen sind deswegen keine Terminalsymbole weiter nach rechts gewandert, sondern können nach wie vor nur an erster Stelle stehen, wie es die Greibach Normalform fordert.
Bei den Bi-Produktionen besteht die rechten Seite ausschließlich aus Nichtterminalsymbolen. Da nach dem zweiten Schritt alle Ai-Produktionen in Greibach Normalform sind, muss im dritten Schritt lediglich das erste Nichtterminalsymbol der rechten Seite einer Bi-Produktion durch die rechte Seite der jeweiligen Ai-Produktion ersetzt werden (siehe Vorbemerkung) und folglich sind dann auch die Bi-Produktionen in der gewünschten Greibach Normalform.
Gegeben sei eine Grammatik  mit den zugehörigen
Produktionen
 mit den zugehörigen
Produktionen
                    
                                                                                                     
Diese wird im Folgenden in Greibach Normalform überführt.
1. Schritt
Das Umwandlungsverfahren in Greibach Normalform beruht auf Ausgangsgrammatiken in Chomsky Normalform. Die hier gegebene Grammatik liegt in CNF vor, da auf der rechten Seite entweder zwei Nichtterminalsymbole oder ein Terminalsymbol stehen. Wir können daher direkt mit der Umwandlung in GNF beginnen.
Die Produktionen müssen alle in die Form  mit
i < j gebracht und mögliche linksrekursive Produktionen in
rechtsrekursive umgewandelt werden. Für die A1- und A2-Produktionen
ist die Bedingung bereits gegeben, in die A3-Produktion wird die
rechte Seite von A1 eingesetzt.
 mit
i < j gebracht und mögliche linksrekursive Produktionen in
rechtsrekursive umgewandelt werden. Für die A1- und A2-Produktionen
ist die Bedingung bereits gegeben, in die A3-Produktion wird die
rechte Seite von A1 eingesetzt.
Dann erhält man
                    
                                                                                                 
und in einem weiteren Schritt wird A2 in der rechten Seite von A3 durch A3A1 und b ersetzt, so das man folgende Menge von Produktionen erhält
                    
                                                                                    
Die A3-Produktion entpuppt sich jetzt als eine linksrekursive Produktion, die durch Hinzufügen eines Nichtterminalsymbols B3 und weiterer Produktionen entfernt wird.
                    
                                                                              
2. Schritt
Da sich jetzt alle Produktionen der Bedingung mit i < j genügen und Am = A3
bereits in Greibach Normalform ist, können wir die anderen Ai-Produktionen
auch beginnend bei Am‑1 = A2 in die
gewünschte Form umgestalten.
 mit i < j genügen und Am = A3
bereits in Greibach Normalform ist, können wir die anderen Ai-Produktionen
auch beginnend bei Am‑1 = A2 in die
gewünschte Form umgestalten.
Für A2 erhalten wir dann
                    
                                                              
und entsprechend für A1
                    
                                              
Damit sind alle Ai-Produktionen in Greibach Normalform. Fehlen noch die Bi-Produktionen.
3. Schritt
In das Nichtterminalsymbol der rechten Seite der beiden B3-Produktionen werden alle fünf A1-Produktionen eingesetzt, so dass 10 neue Produktionen entstehen.
                    
                                
Somit erfüllen alle Produktionen die Bedingung der Greibach Normalform, dass die rechte Seite immer aus einem Terminalsymbol gefolgt von keinem oder beliebig vielen Nichtterminalsymbolen besteht. Zu bemerken ist, dass aus den 5 Produktionen der Grammatik in Chomsky Normalform immerhin 24 Produktionen sowie ein weiteres Nichtterminalsymbol in Greibach Normalform geworden sind.
Gegeben sei eine Grammatik  mit den zugehörigen
Produktionen
 mit den zugehörigen
Produktionen
                    
                                                                                                         
1. Schritt
Das Umwandlungsverfahren in Greibach Normalform beruht auf Ausgangsgrammatiken in Chomsky Normalform. Die hier gegebene Grammatik liegt in CNF vor, wir können daher direkt beginnen.
Zunächst werden die Nichtterminalsymbole durchnummeriert.
Sagen wir, S sei das erste und A das zweite Nichtterminalsymbol, also A1
= S und A2 = A, wobei wir aufgrund der Einfachheit auf diese
Umbenennung verzichten können und die Reihenfolge im Hintergrund behalten. Dann
ist die Zuordnung S ®
AA in Ordnung, A ®
SS muss jedoch umgewandelt werden, damit  mit
i < j für alle Produktionen gilt.
 mit
i < j für alle Produktionen gilt.
Dadurch erhält man
                    
                                                                                                 
was eine linksrekursive Ableitung erzeugt. Daher führen wir ein neues Nichtterminalsymbol B2 ein und wandeln in rechtsrekursive Produktion um
                    
                                                                                        
Dann liegen die A-Produktionen schon in Greibach Normalform vor und wir können zum zweiten Schritt übergehen.
2. Schritt
Jetzt muss das erste A der rechten Seite von S durch die A-Produktionen ersetzt werden und man erhält
                    
                                                                           
Schön! Jetzt liegen alle Produktion in der gewünschten Form vor, bis auf die B2-Produktionen, was jedoch auch leicht bewerkstelligt ist.
3. Schritt
Das erste Nichtterminalsymbol der rechten Seite der B2-Produktionen ist A und wird jeweils durch die beiden A-Produktionen ersetzt, so dass vier neue Produktionen entstehen.
                    
                                                                   
Somit liegen alle Produktionen die Greibach Normalform und die Umwandlung ist abgeschlossen.
Satz:
Sei  eine kontextfreie
Grammatik. Dann existiert eine Konstante
 eine kontextfreie
Grammatik. Dann existiert eine Konstante  (welche im
Allgemeinen recht groß ist), so dass für alle Wörter
 (welche im
Allgemeinen recht groß ist), so dass für alle Wörter  der Sprache mit
der Sprache mit  und
 und  , in denen mindestens
, in denen mindestens  Positionen markiert
sind, gilt:
 Positionen markiert
sind, gilt:
Das Wort  kann geschrieben werden, als die Zerlegung
kann geschrieben werden, als die Zerlegung  mit den folgenden 4
Bedingungen:
 mit den folgenden 4
Bedingungen:
1.        enthält mindestens
eine markierte Position,
 enthält mindestens
eine markierte Position, 
2.      
 und
 und  enthalten beide
markierte Positionen, oder aber
 enthalten beide
markierte Positionen, oder aber  und
 und  enthalten beide
markierte Positionen,
 enthalten beide
markierte Positionen, 
3.      
 enthält höchstens
 enthält höchstens  markiere Positionen
 markiere Positionen
4.      
Es existiert ein Nichtterminal  mit:
 mit:
                    
                                              

Das Bild zeigt, wie man sich dieses am besten vorstellen
kann. Es gilt einen Weg vom Startsymbol  aus hin zu den
markierten Blättern zu finden. Da nun der Weg sehr lang ist, existiert eine
Schliefe. Man betrachtet dann den Teilbaum der letzten Wiederholung. Man sieht
nun, dass
 aus hin zu den
markierten Blättern zu finden. Da nun der Weg sehr lang ist, existiert eine
Schliefe. Man betrachtet dann den Teilbaum der letzten Wiederholung. Man sieht
nun, dass  zumindest eine
markierte Position enthalten muss.
 zumindest eine
markierte Position enthalten muss. 
Beweis des Satzes:
Es gelte:
                    
                                                                         
Es sei dann  mit
 mit  und weiterhin
mindestens
 und weiterhin
mindestens  Positionen in
 Positionen in  markiert. Schließlich
sei
 markiert. Schließlich
sei  der Ableitungsbaum
für
 der Ableitungsbaum
für  mit der Länge
 mit der Länge  . Ein Knoten
. Ein Knoten  heißt Verzweigungsknoten,
wenn
 heißt Verzweigungsknoten,
wenn  mindestens zwei
direkte Nachfolger hat. Ein Beispiel wäre, wenn der Knoten
 mindestens zwei
direkte Nachfolger hat. Ein Beispiel wäre, wenn der Knoten  zwei Nachfolger
 zwei Nachfolger  und
 und  hat, welche beide markierte Blätter unter ihren Nachfolgern
haben.
hat, welche beide markierte Blätter unter ihren Nachfolgern
haben. 
Nun lässt sich ein Weg  durch den
Ableitungsbaum
 durch den
Ableitungsbaum  wie folgt
konstruieren:
 wie folgt
konstruieren:
1.        ist die Wurzel von
 ist die Wurzel von  ,
,
2.      
betrachtet man die Nachfolger eines Knoten  . Sollte nur einer von
. Sollte nur einer von  ’s direkten Nachfolgern markierte Knoten haben, so wird
dieser der Nachfolger
’s direkten Nachfolgern markierte Knoten haben, so wird
dieser der Nachfolger  .
.
3.      
Wenn  ein Verzweigungsknoten
ist, dann soll
 ein Verzweigungsknoten
ist, dann soll  derjenige direkte
Nachfolger sein, der die größte Zahl von markierten Blättern als Nachfolger
hat. Bei Gleichheit kann
 derjenige direkte
Nachfolger sein, der die größte Zahl von markierten Blättern als Nachfolger
hat. Bei Gleichheit kann  beliebig gewählt
werden.
 beliebig gewählt
werden.
4.      
Wenn  ein Blatt ist, endet
die Konstruktion.
 ein Blatt ist, endet
die Konstruktion.
Nun ist  der Weg.
der Weg.
Behauptung:
Wenn der Weg  
  Verzweigungsknoten
enthält, dann hat
 Verzweigungsknoten
enthält, dann hat  markierte Blätter.
Der Beweis folgt durch Induktion. Für
 markierte Blätter.
Der Beweis folgt durch Induktion. Für  gilt:
 gilt:
                    
                                                                                                
markierte Blätter. Angenommen, die Aussage ist richtig für
 . Wenn
. Wenn  kein
Verzweigungsknoten ist, dann haben
 kein
Verzweigungsknoten ist, dann haben  und
 und  dieselbe Anzahl von
markierten Blättern. Wenn
 dieselbe Anzahl von
markierten Blättern. Wenn  ein
Verzweigungsknoten ist, dann hat
 ein
Verzweigungsknoten ist, dann hat  mindestens
 mindestens  viele markierte
Blätter bei
 viele markierte
Blätter bei  Verzweigungsknoten.
 Verzweigungsknoten.
In  muss es mindestens
muss es mindestens  viele
Verzweigungsknoten geben. Denn anderenfalls hätte
 viele
Verzweigungsknoten geben. Denn anderenfalls hätte  viele markierte
Blätter. Das wäre jedoch ein Widerspruch, denn
 viele markierte
Blätter. Das wäre jedoch ein Widerspruch, denn  ist ein Blatt, und
somit kein Verzweigungsknoten. Es gilt also
 ist ein Blatt, und
somit kein Verzweigungsknoten. Es gilt also  .
.
Seien nun  die letzten
 die letzten  Verzweigungsknoten.
 Verzweigungsknoten.  heißt „linker
Verzweigungsknoten“, wenn ein linker direkter Nachfolger von
 heißt „linker
Verzweigungsknoten“, wenn ein linker direkter Nachfolger von  , der nicht auf dem Weg liegt, ein markiertes Blatt links von
, der nicht auf dem Weg liegt, ein markiertes Blatt links von
 enthält. Analog dazu
ist
 enthält. Analog dazu
ist  der „rechte Verzweigungsknoten“, wenn ein rechter
direkter Nachfolger von
der „rechte Verzweigungsknoten“, wenn ein rechter
direkter Nachfolger von  , der nicht auf dem Weg liegt, ein markiertes Blatt rechts
von
, der nicht auf dem Weg liegt, ein markiertes Blatt rechts
von  enthält.
enthält.
Ohne Beschränkung der Allgemeinheit gilt: Es gibt
mindestens  viele linke
Verzweigungsknoten. Seien nun
 viele linke
Verzweigungsknoten. Seien nun  die letzten linken
Verzweigungsknoten in
 die letzten linken
Verzweigungsknoten in  . Unter
. Unter  gibt es dann zwei
Knoten
 gibt es dann zwei
Knoten  und
 und  mit der selben
Bezeichnung, da
 mit der selben
Bezeichnung, da  . Für den Fall, dass
. Für den Fall, dass  echt kleiner als
 echt kleiner als  ist, sieht dies wie
auf dem folgenden Bild aus:
 ist, sieht dies wie
auf dem folgenden Bild aus:

Man kann nun  nennen. Es ergibt
sich dann:
 nennen. Es ergibt
sich dann:
                    
                                                                                                              
                    
                                                                                                              
Und damit gilt dann:
                    
                                                      
Da nun  ein linker
Verzweigungsknoten ist, hat
 ein linker
Verzweigungsknoten ist, hat  mindestens ein
markiertes Blatt. Des weiteren ist
 mindestens ein
markiertes Blatt. Des weiteren ist  ein linker
Verzweigungsknoten und damit hat
 ein linker
Verzweigungsknoten und damit hat  mindestens ein
markiertes Blatt.
 mindestens ein
markiertes Blatt.  enthält als
markiertes Blatt
 enthält als
markiertes Blatt  .
. 
Es gilt auch, dass  der
der  -te Verzweigungsknoten vom ende ist. Somit hat
-te Verzweigungsknoten vom ende ist. Somit hat  höchstens
 höchstens  viele markierte
Blätter. Da
 viele markierte
Blätter. Da  ein Nachfolger von
 ein Nachfolger von  ist, hat
ist, hat  höchstens
 höchstens  markierte Blätter.
 markierte Blätter.
Analog zu dem eben vorgeführten Beweis für linke
Verzweigungsknoten, läuft auch der Fall für  rechte
Verzweigungsknoten. Hier enthalten dann
 rechte
Verzweigungsknoten. Hier enthalten dann  und
und  jeweils mindestens
ein markiertes Blatt.
 jeweils mindestens
ein markiertes Blatt. 
Korollar: (Pumping Lemma nach Bar-Hillel, Perles, Shamir)
Sei  eine kontextfreie
Sprache. Dann existiert eine Konstante
 eine kontextfreie
Sprache. Dann existiert eine Konstante  in der Art, dass, wenn
in der Art, dass, wenn  und
 und  ist, dann gilt:
 ist, dann gilt:
Es existiert für  eine Zerlegung in
eine Zerlegung in  mit
 mit  und:
 und:
                    
                                                                                             
Zum Beweis dieses Korollars, wählt man eine beliebige
kontextfreie Grammatik  für
 für  und markiert alle
Positionen in
 und markiert alle
Positionen in 
Behauptung:
Die Sprache  ist nicht
kontextfrei.
 ist nicht
kontextfrei. 
Beweis:
Angenommen die Sprache  wäre kontextfrei. Es
sei dann
 wäre kontextfrei. Es
sei dann  die Konstante des Pumping Lemmas. Und es gilt:
die Konstante des Pumping Lemmas. Und es gilt:
                    
                                                                                                        
Es existiert dann eine
Zerlegung für  mit:
 mit:
                    
                                                                                 
Es soll hier nur der Fall  betrachtet werden.
Dafür gilt:
 betrachtet werden.
Dafür gilt: 
                    
                                                                                                         
Nun gibt es drei Fälle zu beachten:
1.        dies stellt aber
einen Widerspruch dar, denn die Anzahl der a’s würde schneller wachsen.
 dies stellt aber
einen Widerspruch dar, denn die Anzahl der a’s würde schneller wachsen. 
2.      
 und wieder haben wir
einen Widerspruch, da hie die b’s zu schnell wachsen, schließlich bleibt noch
 und wieder haben wir
einen Widerspruch, da hie die b’s zu schnell wachsen, schließlich bleibt noch
3.      
 auch in diesem Fall
bekommt man einen Widerspruch, denn die c’s bleiben auf der Strecke.
 auch in diesem Fall
bekommt man einen Widerspruch, denn die c’s bleiben auf der Strecke.
Behauptung:
Die Sprache  ist nicht
kontextfrei.
 ist nicht
kontextfrei.
Beweis:
Angenommen, die Sprache  wäre kontextfrei. Es sei nun
wäre kontextfrei. Es sei nun  die Konstante des
Pumping Lemmas. Dann gibt es eine Zerlegung von
 die Konstante des
Pumping Lemmas. Dann gibt es eine Zerlegung von  in
 in  mit
 mit  und
 und  .
.
Wie man sieht, gilt:
1.        enthält höchstens
zwei verschiedene Symbole,
 enthält höchstens
zwei verschiedene Symbole, 
2.      
Falls  zwei verschiedene
Symbole enthält, müssen diese „benachbart“ sein. Dann erhält man durch
„pumpen“:
 zwei verschiedene
Symbole enthält, müssen diese „benachbart“ sein. Dann erhält man durch
„pumpen“:

Man erhält also jedes Mal einen Widerspruch, da es nicht zu schaffen ist eine gleiche Anzahl von a’s und c’s oder b’s und d’s zu erreichen.
Behauptung:
Die Sprache  ist nicht
kontextfrei.
 ist nicht
kontextfrei. 
Beweis:
Angenommen die Sprache  wäre kontextfrei. Sei
nun
 wäre kontextfrei. Sei
nun  die Odgens Konstante.
Dann gibt es für ein Wort
 die Odgens Konstante.
Dann gibt es für ein Wort  der Sprache
 der Sprache  eine Zerlegung
 eine Zerlegung  . Es seien nun alle a’s markiert.
. Es seien nun alle a’s markiert. 
1.        und
 und  enthalten a’s.
 enthalten a’s.
Dann gilt:  und damit gilt
 und damit gilt  für
 für  . Es gibt dann die folgenden 3 Fälle:
. Es gibt dann die folgenden 3 Fälle:

·       
Dann gilt:  und somit
 und somit  mit
 mit  . Dann sollte das Wort:
. Dann sollte das Wort:  in der Sprache sein,
dies kann jedoch nicht sein, da die Anzahl der a’s gleich der Anzahl der b’s.
 in der Sprache sein,
dies kann jedoch nicht sein, da die Anzahl der a’s gleich der Anzahl der b’s. 
·       
Dann ist  mit
 mit  und somit müsste das
Wort:
 und somit müsste das
Wort:  in der Sprache sein.
Jedoch führt auch dies zu einem Widerspruch, da die Anzahl der a’s gleich der
Anzahl der c’s ist. Bleibt noch ein Fall zu behandeln.
 in der Sprache sein.
Jedoch führt auch dies zu einem Widerspruch, da die Anzahl der a’s gleich der
Anzahl der c’s ist. Bleibt noch ein Fall zu behandeln. 
·       
hier ist  für
für  . Dann müsste das Wort:
. Dann müsste das Wort:  in der Sprache sein.
Jedoch ist hier die Anzahl der a’s so groß wie die Anzahl der b’s, was einen
Widerspruch darstellt.
 in der Sprache sein.
Jedoch ist hier die Anzahl der a’s so groß wie die Anzahl der b’s, was einen
Widerspruch darstellt. 
2.      
Der Fall, dass  und
und  beide a’s enthalten,
funktioniert analog zum 1. Fall. Somit soll es hier nicht wiederholt werden.
 beide a’s enthalten,
funktioniert analog zum 1. Fall. Somit soll es hier nicht wiederholt werden. 
Behauptung:
Die Sprache  ist eine kontextfreie
Sprache, die inhärent mehrdeutig ist.
 ist eine kontextfreie
Sprache, die inhärent mehrdeutig ist.
Beweis:
Zuerst soll noch mal wiederholt werden, was inhärent mehrdeutig bedeutet. Dies bedeutet, dass egal welche Ableitung gewählt wird, immer 2 mögliche Wege existieren.
Um dies zu zeigen, genügt es eine kontextfreie Grammatik aufzustellen, welche mehrdeutig ist. Eine solche kontextfreie Grammatik ist:
                    
                                                                                                     
Diese Grammatik ist mehrdeutig, wie man schnell an folgendem Beispiel erkennt:
                    
                          
eine andere Ableitung für dieses Wort ist:
                    
               
wir behaupten, dass jede kontextfreie Grammatik für  mehrdeutig sein muss.
Sei
 mehrdeutig sein muss.
Sei  eine beliebige
Grammatik, die
 eine beliebige
Grammatik, die  erzeugt. Sei
weiterhin
 erzeugt. Sei
weiterhin  die Konstante des Odgens Lemma. Es sei nun ohne Einschränkung
die Konstante des Odgens Lemma. Es sei nun ohne Einschränkung
 . Sei
. Sei  . Nun seien alle a’s markiert und
. Nun seien alle a’s markiert und  . Nach Odgens Lemma gibt es dann für
. Nach Odgens Lemma gibt es dann für  eine Zerlegung
eine Zerlegung  für
 für  . Dann gilt:
. Dann gilt:
1.        enthält mindestens
ein a.
 enthält mindestens
ein a.
2.      

3.      
 . Hierbei gilt, dass
. Hierbei gilt, dass  mit Sicherheit nicht
zwei verschiedene Symbole enthalten kann, denn sonst würde durch das Pumpen
„gemischte“ Folgen erzeugt werden.
 mit Sicherheit nicht
zwei verschiedene Symbole enthalten kann, denn sonst würde durch das Pumpen
„gemischte“ Folgen erzeugt werden.
4.      
 enthält höchstens
 enthält höchstens  viele a’s.
 viele a’s.
Nun sind die folgenden Fälle zu betrachten: :
:
1.       
Dann gilt:  und damit
 und damit  für
 für  und man erhält
Wörter:
 und man erhält
Wörter:  die auch aus der
Sprache stammen müssten. Jedoch stellt dieses einen Widerspruch dar, da weder
die Anzahl von a’s und b’s, noch die Anzahl der b’s und c’s gleich ist.
 die auch aus der
Sprache stammen müssten. Jedoch stellt dieses einen Widerspruch dar, da weder
die Anzahl von a’s und b’s, noch die Anzahl der b’s und c’s gleich ist.
2.      

Es ist dann  mit
 mit  und es gilt
 und es gilt  für
 für  . Damit bekommt man Wörter:
. Damit bekommt man Wörter:  , die auch in der Sprache sein müssen. Doch wie schon bei a)
bekommt man einen Widerspruch.
, die auch in der Sprache sein müssen. Doch wie schon bei a)
bekommt man einen Widerspruch. 
3.      

Es gilt:  für
 für  und weiterhin
 und weiterhin  für
 für  . Damit bekommt man die folgenden Wörter:
. Damit bekommt man die folgenden Wörter: , die Element der Sprache sein müssen. Es gilt also zwei
weitere Fälle zu unterscheiden zum einen den Fall
, die Element der Sprache sein müssen. Es gilt also zwei
weitere Fälle zu unterscheiden zum einen den Fall  und zum anderen
 und zum anderen  :
:
·       
Damit würden Wörter:  diese müssten in der
Sprache sein, jedoch ist dies ein Widerspruch.
 diese müssten in der
Sprache sein, jedoch ist dies ein Widerspruch. 
·       
Es gilt damit:  . Für
. Für  gilt dann:
 gilt dann:
                    
                                                                                     
Eine ähnliche Argumentation
liefert dann für den umgekehrten Fall:  . Für
. Für  mit
 mit  und mit
 und mit  . Schließlich kommt man zu der Ableitung:
. Schließlich kommt man zu der Ableitung:
                    
                      
Behauptung:
Diese beiden Ableitungen repräsentieren verschiedene Ableitungsbäume.
Beweis:
Angenommen, diese beiden Ableitungen beschreiben denselben Ableitungsbaum.
 erzeuge a’s und b’s
während,
 erzeuge a’s und b’s
während,  b’s und c’s erzeugt.
Somit ist
 b’s und c’s erzeugt.
Somit ist  kein Nachfolger von
 kein Nachfolger von  und
 und  ist kein Nachfolger von
ist kein Nachfolger von  . Betrachtet man nun die Ableitung:
. Betrachtet man nun die Ableitung:
 mit
 mit 
Nun muss für alle  gelten:
 gelten:

Nun ist  hinreichend groß zu
wählen.
 hinreichend groß zu
wählen. 
Es gilt  und
 und  . Damit ist also
. Damit ist also  . Somit erhält man also
. Somit erhält man also  mit
 mit  . Dies ist jedoch ein Widerspruch, da wir entweder eine
gleiche Anzahl von a’s und b’s wollten, oder aber eine gleiche Anzahl von b’s
und c’s. Somit können die beiden Ableitungen nicht den selben Ableitungsbaum
beschrieben haben.
. Dies ist jedoch ein Widerspruch, da wir entweder eine
gleiche Anzahl von a’s und b’s wollten, oder aber eine gleiche Anzahl von b’s
und c’s. Somit können die beiden Ableitungen nicht den selben Ableitungsbaum
beschrieben haben.
Wir betrachten nun eine Sprachklasse, die echt zwischen den regulären Mengen und den kontextfreien Sprachen liegen: die deterministischen kontextfreien Sprachen (DCFL). Diese sind interessant, da es sich herausstellt, dass die Syntax vieler Programmiersprachen mittels DCFLs beschrieben werden kann.
Definition:
Sei  ein PDA. M heißt dann deterministisch (DPDA):
ein PDA. M heißt dann deterministisch (DPDA): 
                    
                                                           
                    
                                      
Regel 1 verhindert Wahlmöglichkeiten für dieselbe Eingabe. Regel 2 verhindert die Wahl zwischen der Benutzung eines Eingabesymbols und einer e-Bewegung.
Definition:
Eine Sprache heißt deterministisch kontextfrei (dkfS):  Es existiert ein DPDA mit L = T(M).
Es existiert ein DPDA mit L = T(M).
·        
Die Sprache  ist deterministisch.
 ist deterministisch.
·        
Die Sprache  ist deterministisch.
 ist deterministisch.
·        
Die Sprache  ist nicht
deterministisch.
 ist nicht
deterministisch.
Beim letzten Beispiel müsste der Automat raten, ob für ein a nun ein oder zwei b vorliegen müssen.
Dagegen gilt:
·        
 ist deterministisch,
falls gilt d1 ¹ d2.
 ist deterministisch,
falls gilt d1 ¹ d2.
·        
 ist deterministisch,
falls gilt d1 ¹ d2. Dabei wird so vorgegangen: zunächst
werden für jedes a zwei Symbole auf den Keller gelegt. Wenn d1 gelesen
wird, so wird je ein Symbol wieder vom Keller gelöscht, ansonsten wird mit den je zweiten
weitergearbeitet.
 ist deterministisch,
falls gilt d1 ¹ d2. Dabei wird so vorgegangen: zunächst
werden für jedes a zwei Symbole auf den Keller gelegt. Wenn d1 gelesen
wird, so wird je ein Symbol wieder vom Keller gelöscht, ansonsten wird mit den je zweiten
weitergearbeitet.
·        
 ist nicht
deterministisch.
 ist nicht
deterministisch.
Satz:
Sei L eine kontextfreie Sprache (kfS). Dann gibt es eine deterministische kontextfreie Sprache L‘ (dkfS) und einen Homomorphismus h mit h(L‘) = L.
Beweis:
Sei L kontextfrei. Daraus folgt, dass es einen PDA  geben muss mit
L = T(M).
 geben muss mit
L = T(M).
Es sei
                    
                                                                
Also ist m die maximale Länge von Symbolen, die auf den Keller gestellt werden. Es sei weiter
                    
                                                                                                   
mit  .
.
Wir definieren nun den deterministischen PDA M‘ wie folgt:
                    
                                                                                   
mit
                    
                                                    
Wir müssen durch Induktion den Determinismus zeigen:
                    
                       

Abbildung 39 - Beispiel zum Beweis
In Abbildung 39 sieht man das Prinzip des Beweises. Oben sieht man einen nichtdeterministischen Kellerautomaten (da bei der gleichen Eingabe in zwei verschiedene Zustände p, r gewechselt werden kann).
Im unteren Teil der Abbildung sieht man nun den deterministischen Automaten mit den neuen Eingabesymbolen [a,a,p] und [a,b,r]. Es wird also eine Alphabetvergrößerung vorgenommen. Um diese Zeichen wieder auf die alten Zeichen zurückzumappen wird der folgende Homomorphismus definiert:
                    
                                                                              
Somit gilt  .
.
Definition (Problem):
Ein Problem  ist ein Paar
 ist ein Paar  mit
 mit
                    
                                                                          
c ist also letztendlich die Beschreibung des Problems, das wir lösen wollen.
Definition (Algorithmus):
Ein Algorithmus A für ein Problem  ist eine endliche
Menge von Instruktionen, die für alle
 ist eine endliche
Menge von Instruktionen, die für alle  hält mit
 hält mit
                    
                                                                                           
Definition (Entscheidbarkeit):
Ein Problem  heißt entscheidbar
 heißt entscheidbar 
Beispiel 1
Das Problem  mit
 mit
                    
                                            
Beispiel 2
Das Problem (Leerheitsproblem)  mit
 mit
                    
                                                                   
Es gibt unter anderem die folgenden beiden Modelle für Algorithmen:
· Turing Maschinen (Alan Turing)
· Rekursive Funktionen (Kurt Gödel)
Diese beiden Ansätze sind jedoch äquivalent.
Ende endliche Menge A von Instruktionen ist ein Algorithmus genau dann, wenn eine Turing-Maschine m existiert mit:
                    
                                                    
Definition (Turing-Maschine):
Eine Turing-Maschine M ist ein 7-Tupel  mit
 mit
                    
                                  
Dabei ist zu beachten, dass {L, R} die Bewegungen des Schreib-/Lesekopfes darstellen sollen. d ist in der Regel partiell, d. h. nicht überall definiert.
Eine Turingmaschine kann man sich also vorstellen als eine Maschine, die auf einem (Eingabe)band operiert. Sie kann dabei ein Zeichen lesen und abhängig von diesem und dem momentanen Zustand, in dem sie sich befindet, ein neues Zeichen an die Stelle des Gelesenen schreiben, in einen neuen Zustand wechseln und den Schreib-/Lesekopf nach recht oder links um eine Stelle bewegen.
Definition (Konfiguration):
Sei  eine Turing-Maschine.
Eine Konfiguration von M wird wie folgt bezeichnet:
 eine Turing-Maschine.
Eine Konfiguration von M wird wie folgt bezeichnet:
                    
                                                                                                                
Dabei gilt  , so dass a1
das am weitesten links stehende Nicht-Blank-Symbol und a2 das am
weitesten rechts stehende Nicht-Blank-Symbol enthält. q ist der gegenwärtige
Zustand der Maschine und kennzeichnet auch die Position des
Schreib-/Lesekopfes.
, so dass a1
das am weitesten links stehende Nicht-Blank-Symbol und a2 das am
weitesten rechts stehende Nicht-Blank-Symbol enthält. q ist der gegenwärtige
Zustand der Maschine und kennzeichnet auch die Position des
Schreib-/Lesekopfes.
Wir können die Bewegung einer Turing-Maschine wie folgt formal beschreiben. Zunächst die Linksbewegung:
                    
                                               
Hierbei wird vom Zustand q aus das aktuelle Zeichen (Xi) ersetzt durch Y, in den Zustand p verzweigt und der Kopf eine Stelle nach links bewegt.
Analog die Rechtsbewegung:
                    
                                                
Wir bezeichnen mit  und
 und  die üblichen
Erweiterungen.
 die üblichen
Erweiterungen.
Es ist
                    
                                                    
die Menge der von M akzeptierten Eingabewörter.
Wir vereinbaren, dass M in einem akzeptierenden Zustand f Î F stets anhält.
Beispiel
Wir betrachten eine Turing-Maschine für die Sprache  .
 .
Es sind  .
.
Die Übergangsfunktion d geben wir in folgender Tabelle an:
| q00 | q1XR | erste 0 von links durch X ersetzen | 
| q10 | q10R | zur ersten 1 nach rechts gehen | 
| q2Y | q2YL | nach links die erste 0 suchen | 
| q40 | q40L | nach links das erste X suchen | 
| q3Y | q3YR | keine Nullen mehr da Þ Falls ja: in akzeptierenden Zustand gehen! | 
Wir wollen nun eine Turing-Maschine bauen, die andere Turingmaschinen simulieren kann – und zwar auf jedes Eingabewort hin. Wir wollen also eine Turing-Maschine U mit folgender Eigenschaft:
· M sei eine beliebige Turingmaschine
· x sei ein beliebiges Eingabewort
· Dann führt U bei Eingabe von (M,x) die Simulation von M auf x durch.
Jetzt ist aber die Frage, wie die Eingabe (M,x) aussehen soll. Hierfür müssen wir eine Kodierung auf dem Band vornehmen.
Wir stellen zunächst folgendes fest:
Zu jedem Alphabet G - {B} gibt es eine Kodierung in {0,1}*, so dass gilt
                    
                                                    
Wir nehmen also im weiteren an, dass alle Turing-Maschinen auf einem Alphabet {0,1,B} mit S = {0,1} arbeiten. Wir wollen nun die zu simulierende Turing-Maschine selbst kodieren. Wir wählen hierfür das Alphabet
                    
                                                                                                        
Dabei ist
· c ein Trennzeichen für verschiedene Blöcke unserer Codierung
· 1 verwenden wir zur Darstellung der Zustände
· 0 verwenden wir, wenn d an einer Stelle nicht definiert ist
· L, R sind die Kopfbewegungen
Wir verwenden folgendes Schema:
| ccc | . | c | . | c | . | cc | . | c | . | c | . | cc | . | ccc | 
| 1) | Block für Eingabe „B“ | 2) | „0“ | 2) | „0“ | 3) | „B“ | 1) | „0“ | 1) | „1“ | 3) | 
 | 1) | 
Dabei gilt folgendes:
1. ccc bezeichnet die Randmarkierung
2. c bezeichnet die Eingabesymbolblockmarkierung
3. cc bezeichnet die Zustandsblockmarkierung
Jeder Zustand erhält einen Zustandsblock. In jedem Zustandsblock gibt es je einen Eingabesymbolblock für die drei möglichen Eingabesymbole B, 0 , 1. Ein Eingabesymbolblock sieht beispielhaft so aus:
c111L1c
Dies bedeutet, dass in den Zustand 3 (111) gegangen, der Kopf nach links bewegt und an die aktuelle Position eine 1 geschrieben werden soll.
Beispiel:
Wir wollen die Kodierung folgender Übergangstabelle haben:
| q11 | q20R | 
| q2B | q31L | 
| q20 | q31L | 
| q21 | q21R | 
| q3B | q40R | 
| q30 | q40R | 
| q31 | q31L | 
Nach dem obigen Schema lautet die Kodierung:
| ccc | 0c0c11R0 | cc | 111L1c111L1c11R1 | cc | 1111R0c1111R0c111L1 | cc | 0c0c0 | ccc | 
| 
 | q1 | 
 | q2 | 
 | q3 | 
 | q4 | 
 | 
Bei der Arbeit benutzt die virtuelle Turing-Maschine zwei zusätzliche Symbole m1, m2 zur Markierung. Dabei markiert m1 den aktuellen Zustandsblock auf dem Eingabeband (auf dem „cc“) und m2 das aktuelle Eingabezeichen.
Das Band sieht zu Beginn wie folgt aus (mit Markierung von m1, m2):
| 
 | m1 | 
 | m2 | 
| ccc | ... | ccc | Kod(x) | 
Die Vorgehensweise ist nun die folgende:
1. U sucht m2 und merkt sich das dort gefundene Symbol, z. B. A Î {B,0,1}
2. U sucht im aktuellen Zustandsblock (Merker: m1) die zugehörige Anweisung für A
3. U merkt sich, wodurch A zu ersetzen ist und ob nach rechts oder links gegangen wird
4. U versetzt m1 an den Anfang des Zustandsblocks, der als Nachfolgezustand angegeben wird (Subroutine)
5. U geht zu m2, ändert A und versetzt m2 nach links oder nach rechts
6. Gehe nach 1
Diese Vorgehensweise kann natürlich auch formalisiert werden.
Insgesamt folgt aber
                    
                                                                 
In diesem Ablauf haben wir die akzeptierenden Zustände von M nicht betrachtet. Man kann sich aber leicht vorstellen, dass jede Turingmaschine mit mehreren akzeptierenden Zuständen in eine äquivalente Turingmaschine mit nur einem akzeptierenden Zustand umgewandelt werden kann (indem man einfach einen neuen Zustand einführt und alle akzeptierenden Zustände auf diesen verweist). Dann kann die universelle Turingmaschine durch eine geeignete Erweiterung der Kodierung von M leicht feststellen, ob diese in einem akzeptierenden Zustand ist.
Wir formulieren das Halteproblem:
Gibt es einen Algorithmus (Turing-Maschine), der für beliebige Paare (M, x), wobei M eine Turing-Maschine und x ein Wort sei, entscheidet, ob M auf x hält?
Wir kodieren wieder, diesmal jedoch alle Turing-Maschinen in einem endlichen Alphabet und alle Eingabewerte in {0,1}*. In beiden Kodierungen existiert eine lineare (lexikographische Ordnung).
Wir beweisen zunächst einen Hilfssatz:
Lemma:
Sei  die Sprache der
Wörter mit der Nummer i, die nicht von der i-ten Turing-Maschine akzeptiert
werden. Zu dieser Sprache existiert keine Turingmaschine mit T(M) = L1.
 die Sprache der
Wörter mit der Nummer i, die nicht von der i-ten Turing-Maschine akzeptiert
werden. Zu dieser Sprache existiert keine Turingmaschine mit T(M) = L1.
Beweis:
Angenommen, es gäbe eine solche Turingmaschine M mit L1 = T(M). Daraus folgt automatisch
                    
                                                                                   
(weil M ja selbst eine Turingmaschine ist und sie daher eine Nummer j besitzen muss). Dann aber gilt
                    
                                                                          
Beide Fälle sind Widersprüche, so dass die Annahme falsch gewesen sein muss.
Satz (Halteproblem):
Es gibt keinen Algorithmus (Turing-Maschine), der für ein beliebiges Paar (M,x), wobei M eine Turing-Maschine und x ein Wort sei, entscheidet, ob M auf x hält.
Beweis:
Wir nehmen an, dass ein solcher Algorithmus A existiert:
                    
                                                                     
Wir behaupten, dass  von einer
Turing-Maschine akzeptierbar ist. U sei die universelle Turing-Maschine.
 von einer
Turing-Maschine akzeptierbar ist. U sei die universelle Turing-Maschine.
Wir konstruieren jetzt eine Turing-Maschine M:
1. Eingabe ist x
2. Durch sukzessives Iterieren der Worte x1,x2,...,xn bestimmen wir das i mit xi = x. (Wir bestimmen also die Nummer des Wortes x)
3. Durch sukzessives Iterieren erzeugen wir über dem Kodierungsalphabet die Turing-Maschine Mi.
4. Jetzt wenden wir A (Mi,xi) an.
5. Wenn A (Mi,xi) = 0 Þ M akzeptiert xi.
6. Wenn A (Mi,xi) = 1 Þ M akzeptiert nicht xi
7. Mi akzeptiert nicht xi Þ M akzeptiert xi
Daraus folgt:  . Das ist aber ein Widerspruch zum obigen Lemma. Damit folgt
ein Widerspruch zur Annahme und die gewünschte Turing-Maschine kann nicht
existieren.
. Das ist aber ein Widerspruch zum obigen Lemma. Damit folgt
ein Widerspruch zur Annahme und die gewünschte Turing-Maschine kann nicht
existieren.
Definition (rekursive Menge):
Eine Menge S heißt „rekursiv“ Û Es existiert eine Turing-Maschine M, die auf allen Eingaben aus S* hält, mit S = T(M). Wichtig ist hierbei die Aussage „auf allen Eingaben“. Bildlich kann man sich die Definition wie in Abbildung 40 vorstellen.
Defintion (rekursiv aufzählbar):
Eine Menge heißt „rekursiv aufzählbar“ :Û Es existiert eine Turing-Maschine M mit S = T(M).
Diese Situation ist in Abbildung 41 dargestellt.
Satz:
Eine Menge  ist rekursiv
 ist rekursiv  ist rekursiv.
 ist rekursiv.

Abbildung 40 - Rekursive Mengen

Abbildung 41 - Rekursiv aufzählbare Mengen
Beweis:
L ist rekursiv. Daraus
folgt, dass es eine Turing-Maschine  gibt mit
 gibt mit
·        

· L = T(M)
Sei  eine neue
Turingmaschine, die M simuliere. Wir haben
 eine neue
Turingmaschine, die M simuliere. Wir haben  .
.
Es gelte nun
                    
               
Die Maschine M1 hält immer!
Weiter gilt  .
.
Damit ist  auch rekursiv. Die
umgekehrte Richtung zeigt man analog.
 auch rekursiv. Die
umgekehrte Richtung zeigt man analog.
Satz:
Es gibt eine rekursiv aufzählbare Menge, deren Komplement nicht rekursiv aufzählbar ist.
Beweis:
Es sei  . Weiter sei U die modifizierte universelle Turingmaschine[15].
Dann gilt:
. Weiter sei U die modifizierte universelle Turingmaschine[15].
Dann gilt:
                    
                                                 
1. Uwe Schöning: "Theoretische Informatik - kurzgefaßt", 3. Auflage, 1997
2. Spektrum Akademischer Verlag GmbH Heidelberg, Berlin
3. Skript „Theoretische Informatik II“, Prof. Dr. WotschkeUniversität Frankfurt
4. Vorlesung „Theoretische Informatik II“, Prof. Dr. WotschkeUniversität Frankfurt
5. Skript „Theoretische Informatik II“, Prof. Dr. SchnittgerUniversität Frankfurt
6. J. E. Hopcroft und J. D. Ullman: "Einführung in die Automatentheorie, formale Sprachen und Komplexitätstheorie", Addison-Wesley, 3. Auflage, 1996
7. "Schülerduden: Informatik", Dudenverlag, 3. Auflage, 1997
8. "Schülerduden: Die Mathematik II", Dudenverlag, 3. Auflage, 1991
Abbildung 1 - Grafische Zuordnung von Mengenelementen
Abbildung 2 - Quadratisch unendliches Schema der Bruchzahlen
Abbildung 3 - Prinzip eines endlichen Automaten
Abbildung 4 - Beispiel eines endlichen Automaten
Abbildung 5 - Beispiel eines endlichen Automaten
Abbildung 6 – Beispiel eines NFA
Abbildung 7 – ein nichtdeterministischer, endlicher Automat M
Abbildung 8 - Der DFA, der zu' M äquivalent ist
Abbildung 9: NFA zur Sprache L4
Abbildung 10: der aus dem NFA erzeugte DFA für die Sprache L4
Abbildung 11: NFA für die Sprache Ln
Abbildung 13 - Homomorphismus zwischen Automat M und Nerode Automat
Abbildung 14: Beispiel eines nicht minimalen Automaten
Abbildung 15 der minimierte Automat M'
Abbildung 16 – ein Transitionsdiagramm
Abbildung 17 – die Epsilon-Hülle im Transitionsdiagramm
Abbildung 18 - Äquivalenzkreislauf reguläre Ausdrücke - endliche Automaten
Abbildung 19 - NFAs für reguläre Ausdrücke ohne Operatoren
Abbildung 20 - Vereinigung von regulären Ausdrücken
Abbildung 21 - Konkatenation von regulären Ausdrücken
Abbildung 22 - Kleensche Hülle über regulärem Ausdruck
Abbildung 24 - Automat für 01*
Abbildung 25 - Gesamter Automat
Abbildung 26: der endliche Automat des Beispiels
Abbildung 27 - Ableitungsbaum einer Produktion
Abbildung 28 - richtige und falsche Ableitungsbäume von e-Produktionen
Abbildung 29 - Beispiel Ableitungsbaum für Wort aabbaa
Abbildung 30 - Ableitung bei einem einzelnen inneren Knoten
Abbildung 31 - Illustration eines A-Baum
Abbildung 32 - A-Baum mit Kinderknoten und Xj-/Xi-Teilbäumen
Abbildung 36 - Links- und rechtrekursive Ableitungen
Abbildung 39 - Beispiel zum Beweis
Abbildung 40 - Rekursive Mengen
Abbildung 41 - Rekursiv aufzählbare Mengen
A
Algorithmus 51, 52, 122, 136, 137, 140, 141
Anwendung 48, 59, 70, 94, 99, 105, 116
Ausnahme 62, 98, 100
Axiom 17
B
Binär 8, 36, 108
F
Fehler 15, 34
Feld 51
Funktion 7, 10, 13, 17, 24, 30, 57, 58, 59, 62, 63, 85, 112, 137
L
Link 36, 99, 122
Liste 51
M
Mapping 13
Menge 7, 8, 9, 10, 11, 12, 13, 14, 15, 16, 17, 24, 25, 27, 29, 35, 36, 37, 38, 39, 41, 43, 47, 54, 55, 58, 59, 60, 61, 62, 64, 65, 70, 71, 77, 78, 79, 80, 82, 85, 87, 88, 94, 95, 102, 103, 108, 111, 112, 121, 124, 134, 136, 137, 138, 141, 142
Methode 15
Modul 37
P
Programmiersprache 134
Protokoll 19, 100
S
Struktur 9, 10, 36, 44
Symbol 23, 27, 30, 55, 56, 62, 80, 95, 103, 104, 111, 112, 117, 118, 134, 137, 140
T
Tabelle 51, 52, 75, 138
[1] Vgl.: INTRODUCTION TO AUTOMATA THEORY, LANGUAGES AND COMPUTATION by John E. HOPECROFT and Jeffrey D. ULLMAN pages 22f
[2] Ein DFA ist ein Spezialfall des NFA, bei dem es für jeden Zustand eine einzigartige Übergangsfunktion für jedes Symbol gibt.
[3] Bei der homomorphen Eigenschaft handelt es sich nicht um eine zwangsläufige Konsequenz, oder um eine durch das Monoid definierten Eigenschaft. Vielmehr wird der Homomorphismus (willkürlich) gefordert, um die neue, algebraische Struktur als „Ring“ zu erhalten
[4] ist zwar beweisbar, an dieser Stelle verzichten wir aber darauf.
[5] Im englischen: „e-Closure“
[6] Ein NFA wird ja schon dadurch zum e-NFA, dass man von jedem Zustand einen mit „e“ markierten Pfeil auf sich selber einzeichnet. Dadurch verändert sich das Verhalten des Automaten nicht.
[7] Hier wird die Induktionsannahme für Länge(x)=1 verwendet. Da in dem aktuellen Induktionsschritt Wörter der Länge > 1 betrachtet werden, ist dieses Vorgehen erlaubt.
[8] Besuchen bezeichnet hier in den Zustand einzutreten und wieder herauszutreten
[9] Für die Korrektheit übernehme ich keine Haftung ;-)
[10] Die Begriffe „starten“ und „enden“ dürfen in diesem Zusammenhang auch vertauscht werden.
[11] Dieser, ausgezeichnete Zustand f ist das wichtigste Element der Menge der akzeptierenden Zustände...
[12] Dieser Beweis wurde im Skript komplett weggelassen. Warum, ist mir nicht klar.
[13] Man kann bei einem PDA natürlich nicht von „Terminalen“ und „Nichtterminalen“ sprechen. Diese Bezeichnungen beruhen auf der Bedeutung der jeweiligen Symbole in Bezug auf die kontextfreie Grammatik, die dem PDA zugrunde liegt.
[14] Dieses Vorgehen ist an sich beweistechnisch nicht korrekt.
[15] Modifiziert heißt hier: die i-te Turingmaschine muss erst wie in Abschnitt 21.2.7 beschrieben konstruiert werden.